Tax Court of Canada Judgments

Decision Information

Decision Content

 

 

 

 

Docket: 2007-1806(IT)G

BETWEEN:

VELCRO CANADA INC.,

Appellant,

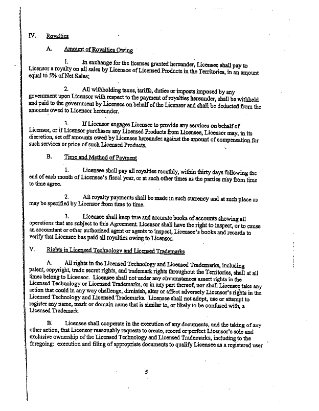
and

 

HER MAJESTY THE QUEEN,

Respondent.

____________________________________________________________________

Appeal heard on May 17, 2011, at Toronto, Ontario

Before: Associate Chief Justice E.P. Rossiter

 

Appearances:

Counsel for the Appellant:

Louise Summerhill

and Marni Pernica

Counsel for the Respondent:

Margaret Nott

and Amit Ummat

 

____________________________________________________________________

 

JUDGMENT

          The appeals from the reassessments made under the Income Tax Act for the 1995, 1996, 1997, 1998, 1999, 2000, 2001, 2002, 2003 and 2004 taxation years are allowed, and the reassessments are referred back to the Minister of National Revenue for reconsideration and reassessment in accordance with the attached Reasons for Judgment.

 

       Signed at Ottawa, Canada, this 24th day of February, 2012.

 

 

“E.P. Rossiter”

Rossiter A.C.J.

 


 

 

 

 

Citation: 2012TCC57

Date: 20120224

Docket: 2007-1806(IT)G

BETWEEN:

VELCRO CANADA INC.,

Appellant,

and

 

HER MAJESTY THE QUEEN,

Respondent.

 

REASONS FOR JUDGMENT

Rossiter A.C.J.

Introduction

 

[1]     Velcro Canada Inc. (“VCI”) was in the business of manufacturing and selling fastening products mainly for the auto industry. VCI paid royalties under a License Agreement to Velcro Industries BV (“VIBV”), previously a resident of the Netherlands, for the use of Velcro Brands Technology. In 1995, VIBV became a resident of the Netherlands Antilles and in October, 1995 assigned the License Agreement to Velcro Holdings BV (“VHBV”), a subsidiary resident of the Netherlands. Canada does not have a tax treaty with Netherlands Antilles. Between 1996 and 2004, VCI paid royalties to VHBV which in turn paid approximately 90% of that amount over to VIBV. Any royalties paid by VCI to VIBV would be subject to a withholding tax of 25%. Canada does have a tax treaty with the Netherlands and under that treaty, VCI withheld and remitted a reduced rate of tax of 10% of the royalties paid to VHBV for the 1996 to 1998 taxation years and nil for 1999 and subsequent taxation years. VHBV is of the view that it is the beneficial owner of the royalties, the Respondent has the contra view that VIBV is the beneficial owner, and VCI therefore should have withheld and remitted a tax of 25% of the royalties paid to VHBV, as required by the Canada-Netherlands Convention (“Convention”).

 

Facts:

 

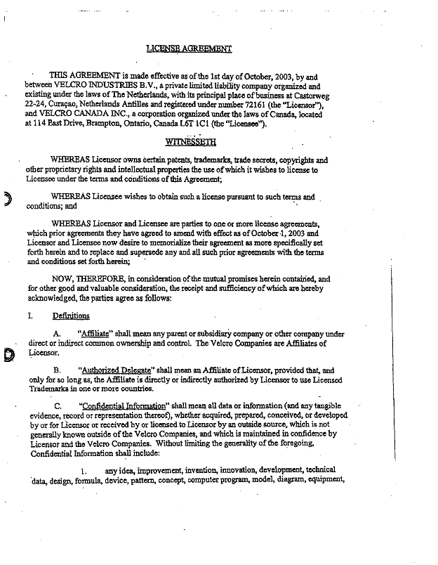
[2]     VCI was in the business of manufacturing and selling Velcro® fasteners mainly for the auto industry. VIBV was the owner of Velcro Brands and technology and entered into a License Agreement with VCI in 1987 (“License Agreement”) so that VCI could use the Velcro® brand fastener technology in Canada.

 

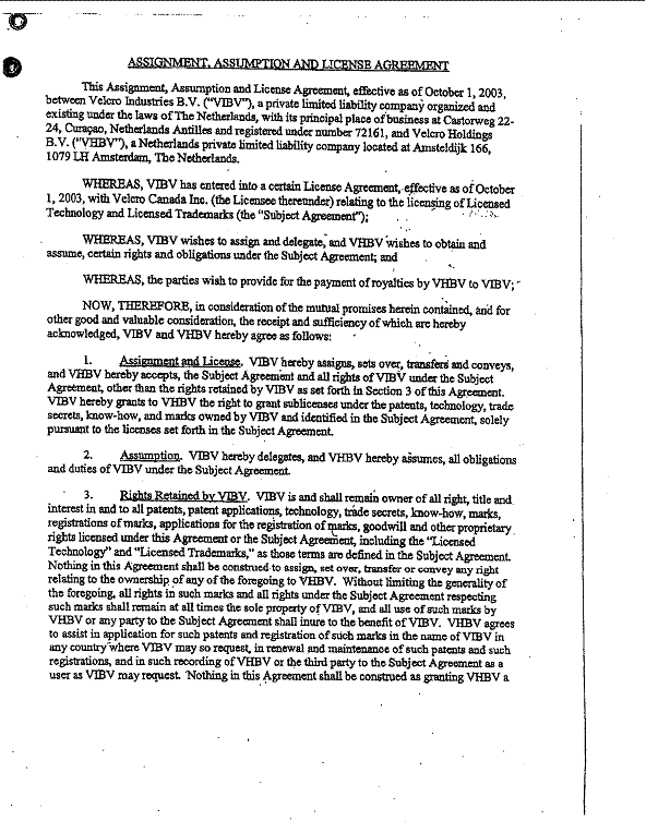
[3]     From 1987 to October 1995, VCI paid royalties to VIBV and withheld tax at the applicable rate pursuant to the Convention. A reorganization of the Velcro group of companies occurred on October 26, 1995 with VIBV becoming a resident of Netherlands Antilles. On October 27, 1995, VIBV signed an Assignment Agreement (“Assignment Agreement”) with VHBV whereby VIBV assigned to VHBV its rights and obligations under the original License Agreement so that VCI would pay royalties to VHBV under the original License Agreement but subject to the Assignment Agreement.

 

[4]     As VHBV was a resident of the Netherlands, VCI continued to withhold tax from royalties at the rate of 10% pursuant to the Convention. The royalty rate was changed from 10 percent to zero in December 1998, which resulted in VCI ceasing to withhold any tax from the royalties.

 

[5]     VIBV and VCI entered into a new License Agreement (“New License Agreement”) effective October 1, 2003, which superseded the License Agreement. Also, effective October 1, 2003, VIBV and VHBV entered into a new Assignment, Assumption and License Agreement (“New Assignment Agreement”). The terms and conditions of the New License Agreement and the New Assignment Agreement are similar to the License Agreement and Assignment Agreement.

 

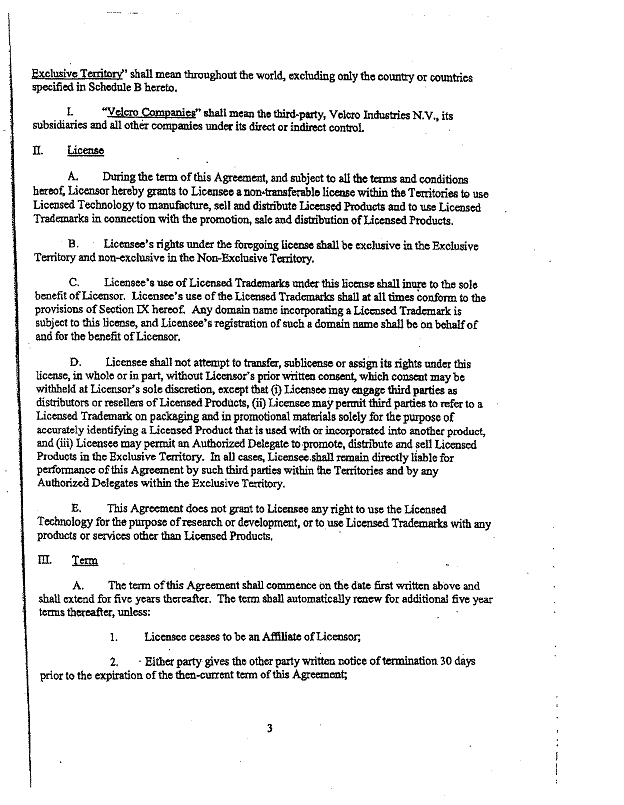
[6]     The licensing agreements granted VCI the right to use VIBV’s intellectual property to manufacture and sell fastening products in exchange for royalty payments, with VIBV maintaining ownership of the intellectual property. Specifically, VCI obtained the right to manufacture, sell, and distribute the licensed products, and the right to use the licensed trademarks to promote, sell, and distribute those products. VCI’s rights were exclusive in Canada and non-exclusive in other countries, as described in the agreements.

 

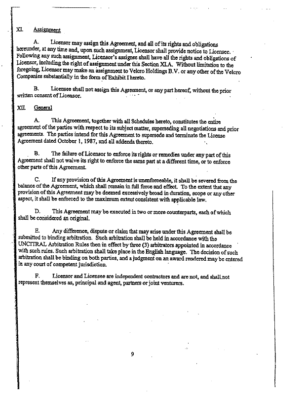
[7]     The royalties owed under the licensing agreement were calculated on the net sale of the products. In the first agreement, different rates were applied depending on whether the licensed products were considered “established technology” (5%) or “new technology products” (7.5%). There was no such distinction under the second agreement, with the rate set at 5% of net sales for all licensed products. Royalties were to be paid quarterly under the first licensing agreement and monthly under the second agreement, with both agreements allowing the parties to agree to other timing for payments. The licensing agreements prevented VCI from conducting research and development using the licensed products, and required VCI to take any steps necessary to preserve VIBV’s rights over the intellectual property, including advising VIBV of any potential misuse or infringement. VIBV’s right to assign the licensing agreements was specifically outlined, while VCI was precluded from assigning the agreement without first obtaining VIBV’s written consent.

 

[8]     The “License Agreement” of October 1, 1987 is attached as Appendix A. Particular reference should be made to:

Article II      A.      Licenses

Article III     A.      Term

Article IV     A.      Amount of Royalties owing

Article IV     B.      Time and Method of Payment

Article V               Rights in License Technology and Licensed Trademarks

Article  XI             Assignment

Schedule C            Royalty Rates

 

[9]     The “Assignment Agreement” of October 27, 1995 is attached as Appendix B. Particular reference should be made to:

 

Article 1.      Assignment and License

Article 2.      Assumption

Article 3.      Rights retained by VIBV

Article 4.      Enforcement of Obligations under Subject Agreement

Article 5.      Third Party Beneficiary

Article 6.      Royalties

Article 7.      Payment Terms

Article 8.      Books and Records; Audit.

Article 9.      Termination

Article 10     Further Assurances

 

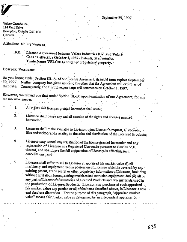
[10] Attached as Appendix C is a letter from VIBV to VCI dated September 29, 1997 in relation to the License Agreement.

 

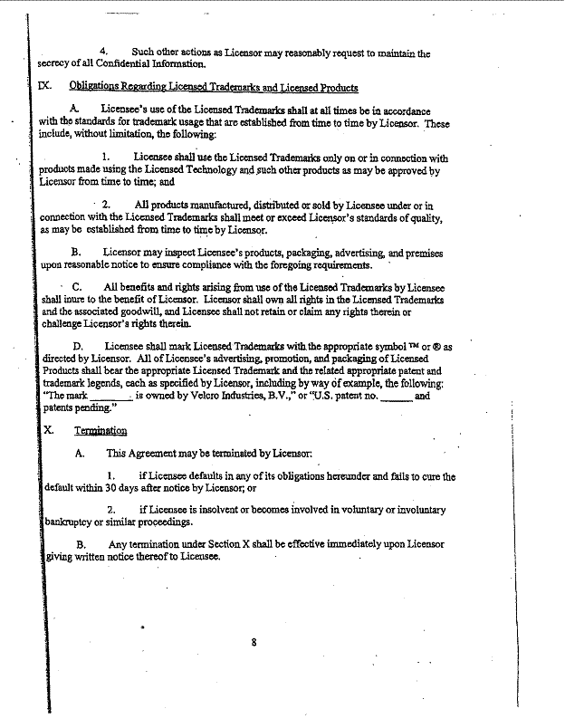
[11] Attached as Appendix D is the new License Agreement effective October 1, 2003.

 

[12] Attached as Appendix E is the New Assignment Agreement dated October 1, 2003. Particular reference should be made to Article 6, Royalties.

 

[13]    The first assignment agreement between VIBV and VHBV was effective October 27, 1995, the day after VIBV moved its seat to Netherlands Antilles. Under both assignment agreements, VHBV was assigned the right to grant licenses for VIBV’s intellectual property to VCI, and to collect royalty payments from VCI as payments for these licenses. VHBV contracted to enforce the terms of the licensing agreement and to take any steps necessary if VCI breached the contract’s terms. The ownership of the intellectual property, however, remained with VIBV, and VIBV was specified as the express third party beneficiary, with the right to enforce the licensor’s rights if VHBV failed to do so. To ensure that VHBV respected the terms of the assignment agreements, VIBV had the right to inspect VHBV’s books and records throughout the agreements and for three years after its termination.

 

[14]    In exchange for the rights granted under the assignment agreements, VHBV agreed to pay VIBV an arm’s length percentage of net sales of the licensed products within 30 days of receiving royalty payments from VCI. The assignment agreements specified that the arm’s length percentage was subject to the approval of Dutch tax authorities.

 

[15]    The Canada Revenue Agency (“CRA”) issued Notices of Assessment in 2006 with respect to 2002/2003 with penalties. Notices of Objection were filed. Additional Notices of Assessment were issued for 1995 through 2001 inclusive, plus 2004. The assessed amounts of non-resident tax plus penalties for each year are as follows:

 

Year                               Non-Resident Tax                     Penalty

1995                               $  270,634                                $  27,063

1996                               $  231,787                                $  23,179

1997                               $  325,043                                $  32,504

1998                               $  448,844                                $  44,884

1999                               $1,083,890                                $106,389

2000                               $1,299,000                                $129,900

2001                               $1,225,505                                $122,552

2002                               $1,362,484                                $136,248

2003                               $1,596,401                                $158,940

2004                               $   740,350                               $  74,035

                                      $8,583,938                                $855,694

 

The assessments/reassessments were confirmed and the Appellant appealed.

[16] CRA had assessed the mandatory penalties under subsection 227(8) of the Income Tax Act (“Act”). The parties are in agreement that the imposition of the penalties will follow the result. Also initially there was an issue with respect to the possibility of some statute barment, but the parties are now in agreement that no issues are statute barred. Also the parties have agreed that the 1995 assessment dated October 25, 1996 shall be referred back to the Minister of National Revenue for reconsideration and recalculation on the basis that VIBV was a resident of the Netherlands in 1995 and therefore entitled to the benefit of the treaty.

 

Issue:

 

[17] Was VHBV the beneficial owner of the royalties from VCI from 1996 through to 2004 and if so, therefore entitled to a reduced withholding rate under the convention?

 

Position of the Parties:

 

[18] Position of the Appellant:

 

The Appellant takes the position that VHBV was the beneficial owner of the royalties from VCI for 1996 through 2004 and as such is entitled to the reduced rate of withholding tax under the convention.

 

The position of the Appellant is based upon:

 

1.    The test of “beneficial owner” from Prévost Car Inc. v. R., 2008 TCC 231, affirmed in 2009 FCA 57.

2.    The Convention, Article 3, section 2;

       Income Tax Convention Interpretation Act, section 3;

       The Tax Court of Canada's decision in Prévost, paragraphs 95 and 100, and paragraphs 14 and 15 from the Federal Court of Appeal's decision upholding Prévost:

3.    The application of the definition of “beneficial owner” from Prévost in terms of

       - “possession”

       - “use”

       - “control”

       - “risk”

4.    The lack of existence of evidence of an agency or nominee relationship or that VHBV is a conduit.

 

 

[19] Position of the Respondent:

 

The Respondent takes the position that VIBV rather than VHBV is the beneficial owner of the royalties from VCI between 1996 and 2004, and therefore VHBV is not entitled to the reduced rate under the Convention. The Respondent alleges that the assessments are correct in relation to VCI for failing to withhold and remit the withholding tax of 25% of royalties paid to VHBV under section 12 of the Act since VHBV was not the beneficial owner of the royalties paid to it by VCI.

 

[20] The position of the Respondent is based upon three arguments:

 

1.    VHBV does not beneficially own the royalties;

2.    VHBV is an agent or conduit;

3.    VHBV did not exercise the “incidences of ownership” as required by Prévost, supra.

 

Applicable Statutes:

 

[21] The Convention between Canada and the Kingdom of the Netherlands is applicable because it addresses the issue of royalties. Article 12 of the Convention addresses royalties as follows:

 

1.         Royalties:  Royalties arising in one of the States and paid to a resident of the other State may be taxed in that other State.

 

2.         However, such royalties may also be taxed in the State in which they arise and according to the laws of that State, but if the recipient is the beneficial owner of the royalties, the tax so charged shall not exceed 10% of the gross amount of the royalties.

 

3.         Notwithstanding the provisions of paragraph 2:

(a)     copyright royalties and other like payments in respect of a deduction of any literary, dramatic, musical or artistic work (but not including royalties in respect of motion picture films and work on film, videotape or other means of reproduction for use in connection with television broadcasting; and

(b)     royalties for the use of or the right to use computer software or any patent or for information concerning industrial, commercial or scientific experience (but not including any such information provided in connection with the rental or franchise agreement)

         arising in a State and paid to a resident of the other State who is the beneficial owner of the royalties shall be taxable only in that other State.

 

[22] The particular relevant sections of the Act are sections 212, 215 and 227 with the remainders of the sections not quoted herein included in Appendix E.

 

212. (1) Tax -- Every non-resident person shall pay an income tax of 25% on every amount that a person resident in Canada pays or credits, or is deemed by Part I to pay or credit, to the non-resident person as, on account or in lieu of payment of, or in satisfaction of,

.…

Rents, royalties, etc.

(d) rent, royalty or similar payment …

 

215. (1) Withholding and remittance of tax -- When a person pays, credits or provides, or is deemed to have paid, credited or provided, an amount on which an income tax is payable under this Part…the person shall … deduct or withhold from it the amount of the tax and forthwith remit that amount to the Receiver General on behalf of the non-resident person on account of the tax …

215. (6) Liability for tax -- Where a person has failed to deduct or withhold any amount as required by this section from an amount paid or credited or deemed to have been paid or credited to a non-resident person, that person is liable to pay as tax under this Part on behalf of the non-resident person the whole of the amount that should have been deducted or withheld, and is entitled to deduct or withhold from any amount paid or credited by that person to the non-resident person or otherwise recover from the non-resident person any amount paid by that person as tax under this Part on behalf thereof.

 

      …

 

227. (8) Penalty -- Subject to subsection 227(8.5), every person who in a calendar year has failed to deduct or withhold any amount as required by subsection 153(1) or section 215 is liable to a penalty of

(a) 10% of the amount that should have been deducted or withheld; or

.…

227. (9) Penalty -- Subject to subsection 227(9.5), every person who in a calendar year has failed to remit or pay as and when required by this Act or a regulation an amount deducted or withheld as required by this Act or a regulation or an amount of tax that the person is, by section 116 or by a regulation made under subsection 215(4), required to pay is liable to a penalty…

Analysis:

The Organization for Economic Cooperation and Development Publications

 

[23] The Treaty is based on the Organization for Economic Cooperation and Development’s (“OECD”) Model Tax Convention on Income and Capital 1977 (“1977 Model”). In 1986, the OECD Council adopted the OECD Conduit Companies Report (“Conduit Report”). As acknowledged by the Federal Court of Appeal in Prévost v. R., supra, the model conventions provide a guide to the interpretation and application of existing conventions. The Federal Court of Appeal, in Prévost, supra, asserted that later commentaries can also act as guides, with certain limitations, stating the following at paragraph [11]:

 

The same may be said with respect to later commentaries, when they represent a fair interpretation of the words of the Model Convention and do not conflict with Commentaries in existence at the time a specific treaty was entered and when, of course, neither treaty partner has registered an objection to the new Commentaries.

 

There are several points to be made about the Models, their Commentary and the Conduit Report:

 

1.       Discussing beneficial ownership, agents, nominees, and, later, conduit companies, paragraph 4 in the 1977 Commentary and paragraphs 4 and 4.1 of the updated Commentary to Article 12 are substantively similar (with some sentences being identical) to the same commentary in Article 10, oft-cited in Prévost.

 

2.       While the Respondent highlights the fact that VIBV consistently ensured it retained the ownership of the Licensed IP, in light of the comment in paragraph 8.2 of the updated Commentary it is unclear what the Respondent intends to achieve by pointing that fact out, as the updated commentary establishes that payments cannot be properly characterized as royalty payments if full ownership is transferred:

 

8.2 -- Where a payment is in consideration for the transfer of the full ownership of an element of property referred to in the definition, the payment is not in consideration “for the use of, or the right to use” that property and cannot therefore represent a royalty.

 

3.       Paragraph 7 of both the 1977 and the 2003 Commentary cite a single example with facts similar to the case at bar:

 

… the beneficial owner of royalties arising in a Contracting State is a company resident in the other Contracting State; all or part of its capital is held by shareholders resident outside that other State; its practice is not to distribute its profits in the form of dividends; and it enjoys preferential taxation treatment (private investment company, base company). …

 

The Commentary then poses the question as to whether it is justifiable to extend the Article’s tax exemptions to the party who is the source of the royalties and then recommends that countries may want to agree to special exemptions when negotiating that take into account the situation described.

 

4.       In discussing the denial of the tax benefits to conduit companies in Articles 10 to 12 and what traits a conduit might have, the Conduit Report states at paragraph 14(b):

 

The provisions would, however, apply also to other cases where a person enters into contracts or takes over obligations under which he has similar functions to those of a nominee or agent. Thus a conduit company can normally not be regarded as the beneficial owner if, though the formal owner of certain assets, it has very narrow powers which render it a mere fiduciary or an administrator acting on account of the interested parties (most likely the shareholders of the conduit company).

 

[24]    In Prévost, the Federal Court of Appeal specifically affirmed the following statement by Chief Justice Rip:

 

[100] … When corporate entities are concerned, one does not pierce the corporate veil unless the corporation is a conduit for another person and has absolutely no discretion as to the use or application of funds put through it as conduit, or has agreed to act on someone else's behalf pursuant to that person's instructions without any right to do other than what that person instructs it, for example, a stockbroker who is the registered owner of the shares it holds for clients.

(emphasis added)

 

After affirming the above paragraph, the Federal Court of Appeal went on to assert:

 

[15] … The Crown, it seems to me, is asking the Court to adopt a pejorative view of holding companies which neither Canadian domestic law, the international community nor the Canadian government through the process of objection, have adopted.

 

The Federal Court of Appeal’s statement is also supported by the Committee on Fiscal Affairs’ warnings of the dangers of readily looking through corporations which is “incompatible with the principle of the legal status of corporate bodies, as recognized in the legal systems of all OECD Member countries…”. At paragraph 24(i) of the Conduit Report.

 

Prévost v. R.

 

[25] The issue in this particular case comes down to the application of the “beneficial ownership test”. The Appellant and the Respondent are in agreement that the test to be applied is the “beneficial ownership test” and it comes from Prévost v. R., supra, upheld by the Federal Court of Appeal. That case turned upon the interpretation of the term “beneficial owner” found in Article 10 of the Treaty. Similar to that Article is Article 12 which requires the recipient of the payments in question to be a resident of the other contracting state and a “beneficial owner” of the royalty payments for the benefits of the Article apply. The Federal Court of Appeal expressly accepted Chief Justice Rip’s formulation in Prévost of the phrase’s definition, going so far as to say it

 

… captured the essence of the concepts as it emerges from the review of the general, technical and legal meanings of the terms …

 

and emphasized that this formulation also accords with what is stated in the OECD Commentaries and in the Conduit Report. The Federal Court of Appeal repeatedly referred to paragraph [100] of Chief Justice Rip’s decision in Prévost, quoting the following:

 

[100] In my view the "beneficial owner" of dividends is the person who receives the dividends for his or her own use and enjoyment and assumes the risk and control of the dividend he or she received. The person who is beneficial owner of the dividend is the person who enjoys and assumes all the attributes of ownership. In short the dividend is for the owner's own benefit and this person is not accountable to anyone for how he or she deals with the dividend income. … Where an agency or mandate exists or the property is in the name of a nominee, one looks to find on whose behalf the agent or mandatory is acting or for whom the nominee has lent his or her name. When corporate entities are concerned, one does not pierce the corporate veil unless the corporation is a conduit for another person and has absolutely no discretion as to the use or application of funds put through it as conduit, or has agreed to act on someone else's behalf pursuant to that person's instructions without any right to do other than what that person instructs it, for example, a stockbroker who is the registered owner of the shares it holds for clients. This is not the relationship between PHB.V. and its shareholders.                            (emphasis added)

 

[26] Also, I would note the comments of Chief Justice Rip in Prévost at paragraph [98] thereof wherein he stated:

 

[98]      In common law, a trustee, for example, holds property for the benefit of someone else. The trustee is the legal owner but does not personally enjoy the attributes of ownership, possession, use, risk and control. The trustee is holding the property for someone else and that, ultimately, it is that someone else who has the use, risk and control of the property. Also, in common law, one person may have a life interest in property and another may have a remainder interest in the same property. The owner of the life interest receives income from the property and owns the income; the owner of the remainder interest owns the capital of the property. There is no division of property in common law as there is in civil law. The word "beneficial" distinguishes the real or economic owner of the property from the owner who is merely a legal owner, owning the property for someone else's benefit, i.e., the beneficial owner.

 

 

Beneficial Ownership:

 

[27] As affirmed by the Federal Court of Appeal in Prévost, supra, when asserting who is the beneficial owner of the items being considered (e.g. a payment of dividends or royalties), one must determine who has received the payments for his/her own use and enjoyment and assumed the risk and control of the payment he/she received. Here the focus is on the attributes of ownership of the payment/item to be considered.

 

[28]    In the scenario such as the one before the Court, where it must be considered whether the recipient can be considered a conduit, one must take a close look at where the right to use and the enjoyment and assumption of risk and control of the payments lie. VHBV signed agreements that it would make payments to VIBV equal to a certain percentage of the net sales within 30 days of receiving payments from VCI. The respondent argues that this case can be distinguished from Prévost because of VHBV’s contractual obligation to make payments to VIBV within a specified timeframe. In Prévost, the Court found that there was no automatic or pre-determined flow of funds, and emphasized that the corporation resident in the Netherlands was not a party to the shareholders’ agreement. Upon evaluating the facts in relation to the use and application by VHBV of the funds received from VCI  it is also clear that despite a contractual obligation to make payments to VIBV, there was no automatic flow of funds in this case.

 

[29] From Prévost, there are really four elements in considering the attribution of beneficial ownership and those are: (a) possession; (b) use; (c) risk; and (d) control. The question therefore is, did VHBV have possession, use, risk and control of the royalties from VCI, considering, (a) the License Agreement; (b) the Assignment Agreement; (c) the New License Agreement; (d) the new Assignment Agreement; (e) the flow of funds; and (f) the financial statements and bank statements of VHBV. These are the key instruments or documentats that one must look to determine who has the possession, use, risk and control of the royalties in question. Also, it is important to emphasize that, as Chief Justice Rip in Prévost noted, the Court is not likely to pierce the corporate veil unless the corporation has no discretion with regard to the use and application of the funds. The Court will look at whether the party in question exercised or held the attributes of beneficial ownership in regards to the royalty payments.

 

[30]    The Appellant presented detailed evidence to the Court outlining the flow of royalty payments from VCI to VHBV, the use of these funds by VHBV, and VHBV’s subsequent payments to VIBV of the amounts owed under the assignment agreements. The Appellant presented Peter Pelletier, a corporate officer for Velcro Companies as a witness for the Appellant. I found him to be quite credible, and particularly helpful. At the time of his testimony, Mr. Pelletier was the treasurer and chief financial officer for the Velcro Group Corp., which is responsible for consolidating the financial reporting of all Velcro companies and then providing this information to Velcro Industries N.V. (VINV), a publicly traded corporation during the time period in issue. Mr. Pelletier had extensive and detailed knowledge of the Velcro Companies drawn from his various positions with the companies over the years, and he had an intricate role in the corporate reorganization of the Velcro Companies in 1995. He was direct and frank in giving his detailed evidence. Mr. Pelletier’s demeanor, manner of presentation, and depth of knowledge all gave a strong indication of his intricate involvement in the finances of the Velcro Companies. He gave his evidence in both direct and cross-examination in a calm, knowledgeable and effective fashion. Mr. Pelletier answered all questions directly giving detailed explanations where required. He did not attempt to avoid answering questions or couch his answers in a manner that would leave one dubious. He was honest and forthright in his evidence, and I found him to be a person of veracity and credible.

 

[31]    Mr. Pelletier explained that VIBV is the holder of all intellectual property rights for the Velcro brands and incurs the research and development expenses in the development of new products and applications. He described the license agreement between VIBV and VCI as similar to many of the licensing agreements that VIBV had with manufacturing and sales entities in other countries. Mr. Pelletier described the purpose of VIBV’s assignment of the licensing agreement to VHBV as being to transfer the management of licensing royalty streams to VHBV. While VIBV remained the owner of the intellectual property, VHBV assumed VCI’s rights and obligations under the licensing agreement. VIBV, however, maintained the right to enforce VCI’s contractual obligations if VHBV failed to do so.

 

[32]    Amaco Management Services B.V. (“Amaco”), an arm’s length corporation, conducted in large part the management of VHBV, including financial services. Mr. Pelletier explained that VHBV’s board of directors met as needed, with no scheduled meetings and no meeting minutes maintained. All resolutions were by unanimous consent. He summarized VHBV’s three main activities as a) holding shares in subsidiaries, b) providing lending services to subsidiaries, and c) managing royalty streams, with the royalties being the largest income and expense items. VHBV’s tax returns, prepared and filed in Amsterdam, supported Mr. Pelletier’s description of VHBV’s activities, listing, amongst other items, investments in subsidiary companies, loans due from subsidiaries, interest income from loans to subsidiaries, and royalty and dividends from subsidiaries.

 

[33]    Mr. Pelletier described the flow and utilization of the royalty payments during the years at issue before the Court, with VHBV’s bank records supporting his testimony. From 1996 to 2004, VHBV received royalty payments in Canadian currency from VCI equal to the percentage of net sales under the licensing agreement, minus the 10% tax withheld and remitted by VCI until 1999, as required under the Convention. Upon receipt, these royalty payments were intermingled into VHBV’s other accounts and used for a variety of VHBV’s purposes, at VHBV’s sole discretion. The funds were not segregated and then paid directly to VIBV; rather, the royalties were transferred into various other accounts under different currencies, and those accounts were used to fund VHBV’s general activities, including investment loans, operational expenses, and professional fees.  When VHBV made its payments due under the assignment agreement, they were neither automatic nor from a segregated account kept solely for the royalty funds. VHBV reached into the accounts where the royalty payments had intermingled with other funds and been used for general VHBV purposes, and transferred from those accounts the amounts due, minus the percentage withheld as approved by the Dutch tax authorities for transfer pricing purposes.

 

[34] In looking at the beneficial ownership issue one must apply the test as set out by Chief Justice Rip, and in doing so, one must look to the meaning of individual words, that is, “possession”, “use”, “risk” and “control”. These words have ordinary meanings.

 

[35] When one looks to the word “possession” in Black’s Law Dictionary, it speaks in terms of “having or holding property in one’s power” or “the exercise of dominion over property”. How did VHBV exercise dominion over the royalties received from VCI? There are a number of ways that VHBV exercised dominion over the royalties:

 

1.    Through the interaction between the license agreements and the assignment agreements, VHBV had the right to receive the royalties.

2.    The royalties were deposited into an account, in Canadian funds, owned by VHBV.

3.    VHBV had exclusive possession and control over these accounts.

4.    The royalties themselves were not subrogated from other monies of VHBV. The royalties were intermingled and moved with other monies flowing in and out of VHBV accounts.

5.    The amounts typically went from Canadian dollars into U.S. dollar accounts and were sometimes converted the next day or later at some other time.

6.    VHBV converted the money eventually and moved it into the U.S. account.

7.    When the money was in VHBV accounts, the monies earned interest which was earned to the credit of VHBV and not someone else or some other entity.

8.    Various charges were deducted from VHBV’s accounts and these are items which VHBV was liable for, including telephone bills, professional fees, and loan payments. These payments came out of the accounts of VHBV.

9.    Sometimes the money went into a U.S. deposit account and at other times, into a Dutch currency account and it appears that there was really an unrestricted flow of funds from and between the accounts.

11.   VHBV did not have to seek instructions on every step of the application of the funds from someone else.

12.   There was co-mingling of the funds with the general funds of VHBV.

13.   The royalty payment received by VHBV from VCI was one amount, while the amount paid by VHBV to VIBV was a different amount. The royalties did not simply go in and come out in an automated fashion.

 

[36] The term “use” in Black’s Law Dictionary makes reference to the application or employment of something: “a long continued possession or employment of a thing for which it is adapted”.

 

[37] Did VHBV “use” the royalties in the ordinary sense? Did it apply the royalty payments to its own benefit? Reference may be made to the facts referred to in paragraph [35] in discussing the issue of possession. The cash flow statements introduced by the Appellant during the course of trial show that the royalties were co-mingled with other monies and used to do a variety of things:

 

(a)   pay bills and fees;

(b)   re-pay loans;

(c)   earn interest income for the benefit of VHBV;

(d)   invest in new enterprises;

(e)   make payments under legal obligations.

 

[38] Nothing in the License Agreement, New License Agreement, Assignment Agreement or New Assignment Agreement prevents VHBV from using the royalties – they were not segregated in any way, they were co-mingled with other funds and they were used on an operational basis as VHBV saw fit. There were no restrictions on the use of the funds – VHBV only had to meet certain contractual obligations with respect to monies it contractually owed to VIBV.

 

[39] In Black’s Law Dictionary, “risk” refers to “the chance of injury, damage or loss” or “liability for injury, damage or loss that occurs”. Reference here would be to economic loss.

 

[40] VHBV did assume some risk in relation to the royalties. There was currency risk in that the monies were received by VHBV in Canadian funds, converted eventually to U.S. funds or Dutch funds. Nothing in any of the agreements referred to shifting any currency risk to anyone else from VHBV. The royalties were the assets of VHBV. They were available to creditors and were shown as such on their financial statements. VHBV reported these funds as assets on their financial statements and therefore were at risk of seizure or availability to creditors, with no priority given to VIBV as a creditor. There was also no indemnification in any of the agreements to reduce the risks and exposure of VHBV.

 

[41] Finally reference can be made to “control” and the definition of control as found in the Black’s Law Dictionary is “to exercise power or influence over”.

 

[42] Many of the comments referred to in the interpretation of the phrases “possession”, “use” and “risk”, equally apply to “control”. It was noted that the royalties did not just flow through VHBV but, at the discretion of VHBV, the payments were co-mingled with other funds of VHBV and were subject to the risk of creditors the same as its other assets. VHBV exercised its control, subjecting the funds to increases or decreases by virtue of earning interest or losing value because of the risk of currency exchange and using the funds, in part, to pay other outstanding obligations of VHBV.

 

[43] The Respondent asserts that VHBV is not the beneficial owner of the royalties, and make reference to the incidences of beneficial ownership. They refer to the use and enjoyment of the royalties, but it is not 100% of the royalties amount that are paid to VIBV but only approximately 90%. The other 10% is subject to the discretionary use, enjoyment, and control of VHBV, assuming it is using the exact same funds, which is not necessarily the case because of the co-mingling of royalty funds with the general funds of VHBV. VHBV also uses, enjoys, and controls funds through currency exchanges and possible investment of some of the royalty payments. Also, VHBV assumes the risk of the royalty payments and certainly the control as is indicated by (a) the co-mingling of the funds with its other assets; (b) being subject to fluctuating currency rates; and (c) the fact that VHBV can invest the funds and earn interest income, and use some of the funds if not all of the funds, to meet its other financial obligations; these facts are all attributes of risk assumption.

 

[44] VHBV did have an obligation to pay a certain amount of money to VIBV which was equivalent to 90% of the royalties received. The funds paid were not necessarily the same funds as the royalty payments received because the original payments were co-mingled with other assets of VHBV. The funds paid to VIBV were not necessarily in the same dollar because if the funds were converted from Canadian dollars to U.S. dollars or to Dutch currency, it may have been a different amount because of the currency exchange.

 

[45] Despite the Respondent’s assertion to the contrary, there was no pre-determined flow of funds. What there is is a contractual obligation by VHBV to pay to VIBV a certain amount of monies within a specified time frame. These monies are not necessarily identified as specific monies, they may be identified as a percentage of a certain amount received by VHBV from VCI, but there is no automated flow of specific monies because of the discretion of VHBV with respect to the use of these monies.

 

[46] The Respondent asserts that VHBV was a mere agent for VIBV and refers to Roberge Transport Inc. v. R., 2010 TCC 155. At paragraph [53], the definition of agency was provided by the Court as follows:

 

[53] The following definition of agency, by Gerald Fridman, has been quoted and applied in a number of Canadian cases:

 

Agency is the relationship that exists between two persons when one, called the agent, is considered in law to represent the other, called the principal, in such a way as to be able to affect the principal's legal position by the making of contracts or the disposition of property.

 

[47] In other words, if you do not have the ability to affect the legal position, then the agency enquiry ends. This is the same interpretation that was given to the phrase “agency” in Merchant Law Group v. R., 2010 FCA 206 when the Federal Court of Appeal stated:

 

[17] It is settled at common law that for an agency relationship to exist the agent must be able to affect the principal's legal position with third parties by entering into contracts on the principal's behalf or by disposing of the principal’s property … and Reynolds on Agency, 17th ed. (London: Sweet & Maxwell, 2001) at paragraph 1-001. In the words of Professor Fridman, citing Royal Securities Corp. Ltd. v. Montreal Trust Co., [1967] 1 O.R. 137 at 155 (H.C.J.) aff’d [1967] 2 O.R. 200 (C.A.), "the law of agency will apply only when the acts of one person on behalf of another make a difference to that other's legal position, that is to say, his or her rights against, and liabilities towards, others. The grant of the right to exercise another person's legal powers, thereby potentially affecting the grantor’s legal position, is an essential feature of agency."

           

            …

 

[22] This Court has previously recognized that an essential quality of agency is whether the putative agent has the capacity to affect the legal position of the principal. Thus, in Glengarry Bingo, once the Court determined that the putative agent did not have the capacity to affect the legal position of its alleged principal, the Court found it unnecessary to address any of the other factors indicative of an agency relationship. The absence of the ability to affect the legal position of the alleged principal conclusively determined that there was no agency relationship. See: Glengarry      Bingo at paragraph 32. The Court then went on to explain, at paragraph 33, that:

 

The most common example of how an agent might affect the legal position of its principal is by entering a contract on the principal's behalf. It is clear here that GBA was not authorized to enter contracts with third parties on behalf of the members. For instance, GBA could not have entered into a contract for purchase of bingo equipment on behalf of its Members. It was only empowered to bind itself. In the contract of purchase, GBA bound itself; it did not purport to act for its Members nor did it expose them to risk. The fact that the Members were insulated from risk is demonstrated by the reaction of ABS when GBA was in arrears on its equipment payments: ABS made no attempt to seek compensation from the Members and the Members did not entertain the idea that they might be liable. These events illustrate that GBA could not effect the legal position of its Members, which demonstrates that an essential element of agency was not present. [Emphasis added.]

 

[23] Other cases have considered the importance of the ability of an agent to affect the legal position of the principal and the assumption of risk by the principal, and reach the same conclusion.      See, for example, Kinguk Trawl Inc. v. Canada (2003), 301 N.R. 89 (F.C.A.) at paragraphs 35-36, Parkland Crane Service Ltd. v. Canada, [1994] G.S.T.C. 58 (T.C.C.) at pages           58-10, 58-11, and Shvartsman v. Canada, [2002] T.C.J. No. 148 at paragraph 12.

 

[48] VHBV did not have the capacity to affect the legal position of VIBV and therefore was not a legal agent. In the Assignment Agreements there was a provision that VHBV could not amend the subject agreement or waive the enforcement of any provision without the express prior written consent of VIBV and further, there was no amendment or waiver of the agreement or any provision thereof to be affected unless it was assigned by the party against whom the enforcement of such an amendment or waiver was sought. Further, VHBV could not assign the agreements without the prior written consent of VIBV. If you are going to be able to affect the legal position you should be able to assign or amend and VHBV could do neither.

 

[49] Notwithstanding that VHBV was obligated to enforce the licensing agreements and notify VIBV of any breaches and take steps to remedy the breach unless directed otherwise by VIBV, and notwithstanding that VIBV had the right to inspect and audit VHBV’s books and that VHBV was contractually required under the assignment and license agreements to take such action as VIBV may reasonably request to secure and protect the rights of VIBV, the key to an agency relationship is that the agent has the ability to affect the legal position of the other. This is not the case with respect to VIBV in relation to VHBV.

 

[50] In terms of nominee, Black’s Law Dictionary refers to a “nominee” as “a person designated to act in place of another, usually in a limited way”. There was no evidence presented to the Court that VHBV acted in a limited way on the facts. In fact, VHBV acted on its own account at all times subject to the assignment agreements.

 

[51] In terms of a conduit, the Canadian Oxford Dictionary defines “conduit” as “a channel or pipe that contains liquids”, “a person or organization … through which anything is conveyed (the mediator was a conduit for communication for the parties)”. There is nothing in the agreements to suggest that VHBV was a mere channel. The financial statements fail to show that VHBV is a mere agent, nominee or conduit – quite the contrary. For the Court to find that VHBV was a conduit, there would have to have been no discretion with respect to the funds.

 

[52] VHBV obviously has some discretion based on the facts as noted above regarding the use and application of the royalty funds. It is quite obvious that though there might be limited discretion, VHBV does have discretion. According to Prévost, there must be “absolutely no discretion” – that is not the case on the facts before the Court. It is only when there is “absolutely no discretion” that the Court take the draconian step of piercing the corporate veil.

 

[53]    The Respondent also argues that because VIBV was an express third party beneficiary to the assignment agreement, VHBV’s right to receive the royalty payments was not absolute.  The assignment agreements state that VIBV is entitled to exercise the rights of VHBV and enforce the obligations of the VCI under the license agreements and to enforce such rights at its sole discretion. When the effect of this clause is walked through step by step, one can see that the use and enjoyment and the assumption of risk and control of the funds continued to lie with VHBV. For example, in the event that VCI missed a payment and VHBV did not immediately act to enforce VCI’s obligations to pay, VIBV could exercise their rights under the assignment agreements and take VCI to court to enforce its obligation to pay. Nevertheless, VCI’s obligation is to VHBV under the license agreements. If the court calls for the enforcement of VCI’s obligations to pay, the payment would go to VHBV. VIBV could then sue VHBV for payment under the assignment agreements (if such a payment had not been made by VHBV as a consequence) but it would be for payment of the amount owed with VHBV maintaining the discretion as to the source, from its general accounts, of the payments. VIBV has no legal control over the right to specific funds paid by VCI to VHBV. In fact, this scenario is analogous to the facts in Prévost and like in Prévost where such an agreement (in that case a shareholders’ agreement) does not automatically pass on the dividends or royalties to the contracting party, without any discretion on the part of VHBV (or Prévost in that case), it cannot be said to shift the beneficial ownership of the payment over to the third party.

 

[54] In considering several cases cited since the Federal Court of Appeal in Prévost, the only case that engages in a significant discussion of beneficial ownership is Alberta Power (2000) Ltd. v. Canada, 2009 TCC 412. I am loathe to quote myself, but I believe that the following comments in Alberta Power (2000) Ltd. show the difference in the Respondent’s and the Appellant’s perspectives:

 

[63]      In Matchwood Investments Ltd. v. R., 1998 CarswellNat 1486, [1998] 4 C.T.C. 2492, a case regarding a taxpayer who took a mortgage in order to claim a capital gains reserve but was subsequently found not to have obtained beneficial ownership of the property until the deed was registered, McArthur J. of this Court stated the following regarding was (sic) is a “beneficial owner”:

 

10     The Minister submits that the Appellant who was the mortgagee in possession in 1994 did not obtain beneficial ownership of the property until the execution and registration of the Quit Claim Deed to him in April 1995. In paragraph 12 of the Reply to the Notice of Appeal the Respondent uses the word "interest" rather than "ownership" as provided for in the Act. These reasons may be different if the word "interest" was correct. In this regard I refer to the definition of "beneficial interest" in the Mozley and Whiteleys Law Dictionary and to the Dictionary of Canadian Law, Carswell Second Edition. I will deal with the words "beneficial ownership". While the Appellant re-acquired possession of the property in 1994 it did not obtain title or ownership until 1995 when it was granted a Quit Claim Deed. It is unfortunate this Deed was not available to be placed in evidence. While it is agreed that it was registered in 1995 there was no evidence as to when it was executed, although it would appear that it was also executed in 1995. The Dictionary of Canadian Law, Second Edition defines "beneficial owner" in part:

 

... the real owner of the property even though it is in someone else's name they quote Csak vs. Aumon (1990) 69 DLR at 567 and at 570 Lane J. stated: 'A person who has the right to drill into a unit of minerals and produce therefrom oil and gas or potash ...'

 

[55]    Similar to the Respondent in Matchwood Investments, it appears the Respondent in the case at bar is also taking the position that VIBV’s interest (as an express third party beneficiary) is synonymous with beneficial ownership. This is not the case. The person who is the beneficial owner is the person who enjoys and assumes all the attributes of ownership. Only if the interest in the item in question gives that party the right to control the item without question (e.g. they are not accountable to anyone for how he or she deals with the item) will it meet the threshold set in Prévost. In Matchwood, the Court found that the taxpayer did not have such rights until the deed was registered; likewise, VIBV is not a party to the license agreements (having fully assigned it, along with its rights and obligations, to VHBV). It no longer has such rights and thus does not have an interest that amounts to beneficial ownership.

 

[56] I realize that I have been repetitious in reviewing some of the facts of this case, but I felt that was necessary to indicate how the facts relate to the incidences of beneficial ownership as discussed by Chief Justice Rip in Prévost.

 

[57] For the reasons given above I believe that the beneficial ownership of the royalties rests in VHBV and not in VIBV and as such, the appeal is allowed and the matter is referred back to the Minister of National Revenue for reconsideration and reassessment on that basis and further, the 1995 assessment dated October 25, 1996 is referred back to the Minister for reconsideration and recalculation on the basis that VIBV was a resident of the Netherlands in 1995 and therefore entitled to the benefit of that treaty.

 

[58] The parties may speak to or make written submissions on costs within 30 days of the date of this Judgment.

 

       Signed at Ottawa, Canada, this 24th day of February, 2012.

 

 

“E.P. Rossiter”

Rossiter A.C.J.

 


CITATION:                                       2012TCC57

 

COURT FILE NO.:                            2007-1806(IT)G

 

STYLE OF CAUSE:                          VELCRO CANADA INC. v. HER MAJESTY THE QUEEN

 

PLACE OF HEARING:                     Toronto, Ontario

 

DATE OF HEARING:                       May 17, 2011

 

REASONS FOR JUDGMENT BY:    Associate Chief Justice E.P. Rossiter

 

DATE OF JUDGMENT:                    February 24, 2012

 

APPEARANCES:

 

Counsel for the Appellant:

Louise Summerhill and Marni Pernica

Counsel for the Respondent:

Margaret Nott and Amit Ummat

 

COUNSEL OF RECORD:

 

       For the Appellant:

 

                          Name:                      Louise R. Summerhill

 

                            Firm:                     Aird & Berlis

                                                          Toronto, Ontario

       For the Respondent:                    Myles J. Kirvan

                                                          Deputy Attorney General of Canada

                                                          Ottawa, Canada


APPENDIX A





 


 


 


 


 


 


 

 


 

 


 

 


 

 


 


 

 

 


APPENDIX B


 


 


 


 

 


APPENDIX C

 


 

 

 

 


APPENDIX D

 


 


 


 


 


 

 

 




 


 




 






APPENDIX E


 







 

 You are being directed to the most recent version of the statute which may not be the version considered at the time of the judgment.