Jugements de la Cour canadienne de l'impôt

Informations sur la décision

Contenu de la décision

Dossier : 2017-4685(IT)G

ENTRE :

3295940 CANADA INC.,

appelante,

et

SA MAJESTÉ LA REINE,

intimée.

 

Appel entendu le 8 septembre 2020, à Ottawa (Canada).

Devant : L'honorable juge Réal Favreau


Comparutions :

Avocats de l'appelante :

Me Roger Taylor

Me Marie-Claude Marcil

Me Stéphanie Brouillard

 

Avocats de l'intimée :

Me Yanick Houle

Me Sara Jahanbakhsh

Me Dominic Bédard-Lapointe

 

JUGEMENT

L’appel à l’encontre de la nouvelle cotisation datée du 21 novembre 2008 concernant l’année d’imposition terminée le 31 mars 2005 de l’appelante est rejeté avec dépens en faveur de l’intimée conformément aux motifs du jugement ci-joints.

Signé à Montréal (Québec), ce 30e jour de juin 2022.

« Réal Favreau »

Juge Favreau


Référence : 2022CCI68

Date : 20220630

Dossier : 2017-4685(IT)G

ENTRE :

3295940 CANADA INC.,

appelante,

et

SA MAJESTÉ LA REINE,

intimée.


MOTIFS DU JUGEMENT

Le juge Favreau

[1] Il s’agit ici d’un appel à l’encontre d’une nouvelle cotisation établie en vertu de la Loi de l’impôt sur le revenu (L.R.C. (1985), ch.1, (5e suppl.)) telle que modifiée (la « Loi ») par le ministre du Revenu national (le « ministre ») en date du 21 novembre 2008 concernant l’année d’imposition terminée le 31 mars 2005 de l’appelante.

[2] Par cette nouvelle cotisation, le ministre a ajouté un gain en capital de 31 500 000 $, dans le calcul du revenu de l’appelante suite à l’application de la règle générale anti-évitement (« RGAÉ ») prévue à l’article 245 de la Loi.

[3] Les faits dans cette affaire ne sont pas contestés et ont fait l’objet d’une entente partielle sur les faits qui sont reproduits en totalité à la fin de ce jugement.

[4] Pour faciliter la compréhension du litige, il y a lieu d’effectuer une mise en contexte.

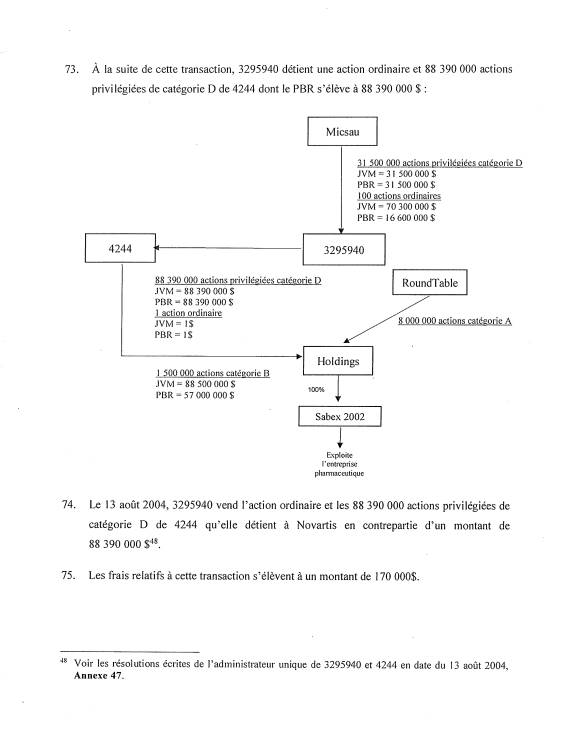
[5] Au centre du litige, on retrouve une entreprise spécialisée dans le développement, la production et la distribution de médicaments génériques injectables, notamment la morphine.

[6] Cette entreprise du nom de Sabex Inc. (« Sabex ») a été constituée en 1973 en vertu de la Loi canadienne sur les sociétés par actions.

[7] En 1980, Sabex a été acquise par monsieur Michel Saucier (« Saucier ») et monsieur Gilles R. Dupuis (« Dupuis »), chacun possédant alors 50 % des actions de la société.

[8] En 1996, Dupuis a vendu sa participation dans Sabex à Saucier qui a financé la transaction à l’aide de la Caisse de dépôt et placement du Québec (« CDPQ ») qui a obtenu en retour 25 % des actions de la société.

[9] En 2001, Saucier désirait se départir de la totalité de ses actions dans Sabex, mais accepterait, si nécessaire, de rester impliqué dans Sabex pour une certaine période de temps afin de faciliter la transaction.

[10] Les caractéristiques fiscales des blocs d’actions détenus pour les actionnaires de Sabex étaient alors les suivantes :

Actionnaires

Prix de base rajusté (PBR)

Vente/Valeur Marchande (JVM)

Revenu Protégé

Michel Saucier

2 000 $

172 500 000 $

23 000 000 $

CDPQ/ Sofinov

7 500 000 $

57 500 000 $

S/O

[11] Le 25 janvier 2002, le Fonds d’investissement RoundTable Healthcare Partners, L.P. et RoundTable Investors L.P. (collectively « RoundTable ») a proposé à Saucier d’acheter 80 % de Sabex. Ce dernier a accepté la proposition de RoundTable. Le Fonds d’investissement RoundTable Healthcare Partners L.P. est un fonds américain (basé dans l’État de l’Illinois).

I. Vente partielle de 80% de Sabex en 2002

[12] Afin de mettre en œuvre l’achat de 80 % de Sabex, les transactions suivantes, incluant la vente par la CDPQ de sa participation de 25 % dans Sabex, sont mises en place :

  • a)Le 19 mars 2002, Sabex 2002 Inc. (« Sabex 2002 ») et Sabex 2002 Holdings Inc. (« Sabex 2002 Holdings ») sont constituées en vertu de la Loi canadienne sur les sociétés par actions et Sabex souscrit à une action ordinaire B de Sabex 2002 et de Sabex 2002 Holdings pour un montant nominal;

  • b)le 10 avril 2002, Gestion Micsau inc. (« Micsau ») est constituée en vertu de la Loi canadienne sur les sociétés par actions;

  • c)le 17 avril 2002, Saucier transfère la totalité de ses actions de Sabex à Micsau, soit 13 500 000 actions ordinaires, 8 000 000 actions de catégorie A privilégiées et 500 000 actions de catégorie C privilégiées, en contrepartie de 120 actions ordinaires de Micsau. Cette transaction a fait l’objet d’un choix en vertu du paragraphe 85(1) de la Loi et la somme convenue par les parties est un montant nominal;

  • d)le 18 avril 2002, Sabex vend à Sabex 2002 la totalité ses actifs pour un montant de 256 562 000 $. La contrepartie reçue par Sabex comprend l’assumation de ses dettes au montant de 26 562 000 $, la remise d’un billet à payer de 176 000 000 $ et l’émission de 1 999 999 actions ordinaires B représentant 20 % des actions ordinaires de Sabex 2002. La contrepartie comprend également une contrepartie conditionnelle de 10 000 000 $ basée sur les résultats futurs. Cette transaction a également fait l’objet d’un choix en vertu du paragraphe 85(1) de la Loi ;

  • e)le 18 avril 2002, CDPQ vend toutes ses actions de Sabex à Micsau en contrepartie de deux billets à payer totalisant 47 460 000 $;

  • f)le 18 avril 2002, Sabex transfère toutes ses actions de Sabex 2002 (2 000 000 actions ordinaires B) à Sabex 2002 Holdings en contrepartie de 1 999 999 actions ordinaires B de Sabex 2002 Holdings. Cette transaction a fait l’objet d’un choix en vertu du paragraphe 85(1) de la Loi et la somme convenue par les parties est un montant nominal;

  • g)le 18 avril 2002, RoundTable souscrit à 8 000 000 actions ordinaires A de Sabex 2002 Holdings pour un montant de 69 115 784 $;

  • h)le 18 avril 2002, Sabex 2002 Holdings souscrit à 8 000 000 actions ordinaires A de Sabex 2002 pour un montant de 69 115 784 $;

  • i)le 18 avril 2002, Sabex 2002 emprunte 110 000 000 $ auprès d’une institution financière;

  • j)le 18 avril 2002, Sabex 2002 rembourse le billet à payer de 176 000 000 $ à Sabex;

  • k)le 18 avril 2002, Sabex verse un dividende de 47 460 000 $ à Micsau;

  • l)le 18 avril 2002, Micsau rembourse les deux billets à payer totalisant 47 460 000 $ à CDPQ.

[13] Suite à l’achat de 80 % des actions de Sabex par RoundTable, la situation était la suivante :

  • a)Saucier détient 100 % des actions de Micsau;

  • b)Micsau détient 100 % des actions de Sabex dont la dénomination sociale a été changée pour 3295940 Canada inc. (« 3295940 ») en vertu d’un certificat de modification daté du 25 avril 2002;

  • c)3295940 détient les 2 000 000 actions de catégorie B représentant 20 % des actions de Sabex 2002 Holdings dont la dénomination sociale a été changée pour Sabex Holdings Ltd. (« Holdings ») en vertu d’un certificat de modification, daté du 1er avril 2004. Ces actions ont un capital versé et un prix de base rajusté d’un montant nominal;

  • d)RoundTable détient 80 % des actions de Holdings soit 8 000 000 actions de catégorie A;

  • e)Holdings détient 100 % des actions de Sabex 2002;

  • f)Sabex 2002 exploite l’entreprise pharmaceutique.

[14] En tout temps pertinent, 3295940 et Micsau étaient des sociétés privées sous contrôle canadien au sens des paragraphes 125(7) et 248(1) de la Loi.

[15] Le prix de base rajusté de la totalité des actions que Micsau détient dans 3295940 était d’un montant de 48 100 000 $ selon l’article 54 et le paragraphe 248(1) de la Loi.

[16] En vertu de l’entente conclue en 2002, Holdings et RoundTable ont chacun l’option d’acheter ou de racheter, selon le cas, en 2004, 500 000 des 2 000 000 actions de catégorie B détenues par 3295940 pour un montant de 13 310 000 $ et 3295940 peut également forcer Holdings à lui racheter en 2004 lesdites actions au même prix.

II. La vente de 100 % de Sabex 2002 à Novartis Pharmaceuticals Canada Inc. (« Novartis »)

[17] Le 25 juin 2004, conformément à l’entente conclue avec RoundTable 2002, laquelle est décrite au paragraphe 16 ci-dessus, RoundTable a exercé son option de forcer le rachat de 500 000 actions de catégorie B de Holdings détenues par 3295940 pour un montant de 13 310 000 $.

[18] Le « revenu protégé » attribuable à ces 500 000 actions de catégorie B de Holdings était de 1 700 000 $ au sens du paragraphe 55(5) de la Loi.

[19] Compte tenu que les frais relatifs à cette transaction se sont élevés à 60 000 $ et que le capital versé et le prix de base rajusté de ces actions sont d’un montant nominal, 3295940 a réalisé un gain en capital d’un montant de 11 550 000 $ (soit 13 310 000 $ - 1 700 000 $ - 60 000 $) en application du paragraphe 55(2) de la Loi.

[20] En conséquence de ce rachat, 3295940 a réalisé un gain en capital imposable de 5 780 000 $ et ce montant a été porté au compte de dividendes en capital (« CDC ») de 3295940 conformément à l’alinéa 38(1)a) et du paragraphe 89(1) de la Loi respectivement.

A. La réorganisation mise en place en 2004 avant de procéder à la vente de Sabex 2002

(1) Extraction du « revenu protégé »

[21] Le 29 janvier 2004, Holdings augmente le capital versé des 1 500 000 actions de catégorie B d’un montant de 4 000 000 $, ce qui a pour effet d’augmenter le « revenu protégé » de ces actions à un montant de 4 000 000 $ au sens du paragraphe 55(5) de la Loi.

[22] Par conséquent, Holdings est réputée avoir versé, et 3295940 est réputée avoir reçu, un dividende d’un montant de 4 000 000 $ en application du paragraphe 84(1) de la Loi.

[23] Puisque la totalité de ce dividende provenait du « revenu protégé » attribuable aux 1 500 000 actions de catégorie B, le paragraphe 55(2) de la Loi ne s’applique pas pour réputer ce dividende être un gain en capital.

[24] De plus, le prix de base rajusté des 1 500 000 actions de catégorie B de Holdings détenues par 3295940 est augmenté d’un montant de 4 000 000 $ en vertu du paragraphe 53(1)b) de la Loi.

(2) Remaniement du capital de 3295940 et constitution de 4244851 Canada Inc. (« 4244 »)

[25] Le 29 juin 2004, 3295940 modifie ses statuts constitutifs pour permettre la création d’une nouvelle catégorie d’actions, les actions privilégiées de catégorie D, lesquelles sont non votantes et rachetables au gré de la société ou de leur détenteur pour un montant de 1 $ par action.

[26] Le 30 juin 2004, 3295940 rachète la totalité des actions de son capital‑actions détenues par Micsau, ces dernières ayant alors un prix de base rajusté de 48 100 000 $ et une juste valeur marchande de 101 800 000 $. En contrepartie, Micsau reçoit 31 500 000 actions privilégiées de catégorie B et 100 actions ordinaires de 3295940.

[27] Cette transaction a fait l’objet d’un choix en vertu du paragraphe 85(1) de la Loi et la somme convenue par les parties a été établie à 48 100 000 $. Le prix de base rajusté et la juste valeur marchande des 31 500 000 actions privilégiées de catégorie B de 3295940 détenues par Micsau ont été établis à 31 500 000 $ en vertu de l’alinéa 85(1)g) de la Loi tandis que le prix de base rajusté des 100 actions ordinaires de 3295940 détenues par Micsau a été établi à un montant de 16 600 000 $ en vertu de l’alinéa 85(1)h) de la Loi.

[28] Le capital versé des 31 500 000 actions privilégiées de catégorie D et des 100 actions ordinaires de 3295940 a été établi à un montant nominal (voir le tableau apparaissant au paragraphe 41 de l’entente partielle sur les faits).

[29] Le 21 juin 2004, la société 4244851 Canada Inc. (« 4244 ») a été constituée et Micsau a souscrit une action ordinaire pour un montant nominal au moment de sa constitution.

[30] Le 30 juin 2004, Micsau a cédé à 4244 les 31 500 000 actions privilégiées de catégorie D de 3295940 en contrepartie de l’émission de 31 500 000 actions privilégiées de catégorie D du capital‑actions de 4244.

[31] Les actions privilégiées de catégorie D de 4244 sont non votantes et sont rachetables au gré de la société ou de leur détenteur pour un montant de 1 $ par action. Le capital versé de ces actions est nominal alors que le prix de base rajusté et la juste valeur marchande sont de 31 500 000 $ respectivement.

[32] Aucun gain n’a résulté de cette transaction puisque la juste valeur marchande des 31 500 000 actions privilégiées de catégorie D de 3295940 cédées par Micsau est égale à leur prix de base rajusté (voir le tableau apparaissant au paragraphe 47 de l’entente partielle sur les faits).

(3) La vente des actions de Holdings à 4244

[33] Le 30 juin 2004, 3295940 cède à 4244 les 1 500 000 actions de catégorie B de Holdings ayant une valeur de 88 500 000 $ en contrepartie de l’émission de 57 000 000 actions privilégiées de catégorie D et de 31 500 000 actions ordinaires du capital‑actions de cette dernière.

[34] Cette transaction a fait l’objet d’un choix en vertu du paragraphe 85(1) de la Loi et la somme convenue par les parties a été établie à 57 000 000 $. En vertu de l’alinéa 85(1)(g) de la Loi, le prix de base rajusté des 57 000 000 actions privilégiées de catégorie D de 4244 détenues par 3295940 a été établie à 57 000 000 $. En vertu de l’alinéa 85(1)(h) de la Loi, le prix de base rajusté des 31 500 000 actions ordinaires de 4244 détenues par 3295940 a été établi à un montant nominal. Le capital versé des 57 000 000 actions privilégiées de catégorie D et des 31 500 000 actions ordinaires de 4244 détenues par 3295940 a été établi à un montant nominal.

[35] Compte tenu du fait que le prix de base rajusté des 1 500 000 actions de catégorie B de Holdings était d’un montant de 4 000 001 $ et que la somme convenue par les parties était de 57 000 000 $, 3295940 a réalisé un gain en capital d’un montant de 52 999 999 $ dont 26 500 000 est imposable. En vertu du paragraphe 89(1) de la Loi, le solde du compte de dividende en capital de 3295940 a été augmenté d’un montant de 26 500 000 $ pour s’établir à 32 280 000 $ (voir le tableau apparaissant au paragraphe 56 de l’entente partielle sur les faits).

(4) Le rachat croisé d’actions

[36] Le 11 août 2004, 3295940 rachète les 31 500 000 actions privilégiées de catégorie D de son capital-actions détenues par 4244 en contrepartie d’un billet à payer d’un montant de 31 500 000 $.

[37] En vertu du paragraphe 84(3) de la Loi, 3295940 est réputée avoir versé à 4244, et 4244 est réputée avoir reçu, un dividende d’un montant de 31 499 999 $. Ce dividende est réputé être un dividende en capital suite au choix effectué par 3295940 en vertu du paragraphe 83(2) de la Loi. Ce dividende n’a pas à être inclus dans le calcul du revenu de 4244 et doit être ajouté au compte de dividendes en capital de 4244, et doit être retiré de celui de 3295940 conformément à la définition de « compte de dividendes en capital » prévue au paragraphe 89(1) de la Loi.

[38] Le 11 août 2004, 4244 rachète les 31 500 000 actions ordinaires et 110 000 des 57 000 000 actions privilégiées de catégorie D de son capital‑actions détenues par 3295940 en contrepartie d’un billet promissoire d’un montant de 31 500 000 $.

[39] En vertu du paragraphe 84(3) de la Loi, 4244 est réputée avoir versé, et 3295940 est réputée avoir reçu, un dividende au montant de 31 389 999 $ sur les actions ordinaires et un dividende de 110 000 $ sur les actions privilégiées de catégorie D. Ces dividendes sont réputés être des dividendes en capital suite au choix effectué par 4244 en vertu du paragraphe 83(2) de la Loi. Ces dividendes n’ont pas à être inclus dans le calcul du revenu de 3295940, et doivent être ajoutés au compte de dividendes en capital de 3295940, et doivent être retirés de celui de 4244 conformément à la définition de « compte de dividendes en capital » prévue au paragraphe 89(1) de la Loi.

[40] Le 11 août 2004, les billets à payer d’un montant de 31 500 000 $ que 3295940 et 4244 se doivent réciproquement sont compensés (voir le tableau apparaissant au paragraphe 67 de l’entente partielle sur les faits).

(5) La vente des actions de 4244 à 3295940

[41] Le 12 août 2004, Micsau cède à 3295940 l’action ordinaire et les 31 500 000 actions privilégiées de catégorie D de 4244 qu’elle détient en contrepartie de l’émission de 31 500 000 actions privilégiées de catégorie D du capital‑actions de cette dernière.

[42] Cette transaction a fait l’objet d’un choix en vertu d’un paragraphe 85(1) de la Loi. La somme convenue par les parties a été établie à 31 500 000 $. En vertu de l’alinéa 85(1)g) de la Loi, le prix de base rajusté des 31 500 000 actions privilégiées de catégorie D de 3295940 détenues par Micsau a été établie à 31 500 000 $. Aucun gain n’a résulté de cette transaction puisque la juste valeur marchande de l’action ordinaire et des 31 500 000 actions privilégiées de catégorie D de 4244 dont Micsau a disposées est égale au prix de base rajusté respectif de ces actions.

[43] Suite à cette transaction, 3295940 détient une action ordinaire et 88 390 000 actions privilégiées de catégorie D de 4244 dont le prix de base rajusté s’élève à 88 390 000 $ (voir le tableau apparaissant au paragraphe 73 de l’entente partielle sur les faits).

[44] Le 13 août 2004, 3295940 vend l’action ordinaire et les 88 390 000 actions privilégiées de catégorie D de 4244 qu’elle détient à Novartis en contrepartie d’un montant de 88 390 000 $. Les frais relatifs à cette transaction se sont élevés à 170 000 $. Compte tenu du prix de base rajusté d’un montant de 88 390 000 $ relatif à l’action ordinaire et aux 88 390 000 actions privilégiées de catégorie D de 4244 détenues par 3295940 et des frais relatifs à la transaction d’un montant de 170 000 $, 3295940 a réalisé une perte en capital de 170 000 $ (voir le tableau apparaissant au paragraphe 76 de l’entente partielle des faits).

(6) Le rachat des actions de 3295940 détenues par Micsau

[45] Le 16 août 2004, 3295940 rachète les 31 500 000 actions privilégiées de catégorie D de son capital-actions détenues par Micsau en contrepartie de 31 500 000 $.

[46] En vertu du paragraphe 84(3) de la Loi, 3295940 est réputée avoir versé à Micsau, et Micsau est réputée avoir reçu, un dividende de 31 500 000 $. En vertu de l’alinéa j) de la définition de « produit de disposition » prévue à l’article 54 de la Loi, Micsau est réputée avoir disposé des 31 500 000 actions privilégiées de catégorie D de 3295940 pour un produit nul et ainsi avoir subi une perte en capital de 31 500 000 $ puisque le prix de base rajusté de ces actions était de 31 500 000 $. En vertu du paragraphe 112(3) de la Loi, cette perte est réputée être nulle.

[47] À la suite de ces transactions, le prix de base rajusté des 100 actions ordinaires de 3295940 détenues par Micsau s’élève à 16 600 000 $.

[48] Suite aux diverses transactions effectuées par 3295940, les gains en capital et les pertes en capital que 3295940 a réalisés sont les suivants :

Rachat de 500 000 actions privilégiées de catégorie B de Holdings

 

11 500 000 $ (gain)

Vente de 1 500 000 actions privilégiées de catégorie B de Holdings

 

53 000 000 $ (gain)

Vente d’une action ordinaire et de 88 500 000 actions privilégiées de catégorie D de 4244

 

170 000 $ (perte)

Total :

64 380 000 $ (gain net)

III. Concession de 3295940

[49] Pour les fins de son appel seulement, 3295940 concède que les transactions mises en place et décrites aux paragraphes 30 à 74 de l’entente partielle sur les faits, lesquelles ont culminé en la vente de la participation indirecte de 3295940 dans l’entreprise pharmaceutique de Sabex 2002 grâce à la vente à Norvatis des actions qu’elle détenait dans 4244, lui ont permis de diminuer le gain en capital d’un montant de 31 500 000 $ qu’elle aurait autrement réalisé si 3295940 avait vendu directement à Norvatis, suite au rachat par 4244 de ses 500 000 actions de catégorie B détenues par 3295940 et de ses 1 500 000 actions de catégorie B de Holdings. Par conséquent, 3295940 concède que les transactions visées constituent une série d’opérations aux fins du paragraphe 245(3) de la Loi aux termes desquelles découle un avantage fiscal, au sens de la définition de cette expression prévue au paragraphe 245(1) de la Loi, d’un montant de 31 500 000 $. Pour cette raison, les transactions visées constituent des opérations d’évitement au sens du paragraphe 245(3) de la Loi.

IV. Les témoignages

[50] Messieurs Jacques Gauthier, comptable chez Ernst & Young jusqu’en 2009 et conseiller de monsieur Michel Saucier, et Pierre Fréchette, Président et Chef de l’exploitation de l’entreprise pharmaceutique exploitée par Sabex 2002 de 2002 à 2004 et maintenant associé chez RoundTable, ont témoigné à l’audience. Ils ont confirmé les faits présentés dans l’entente partielle sur les faits et leur rôle respectif dans les transactions qui y sont décrites.

[51] La planification fiscale des transactions décrites dans l’entente partielle sur les faits a été faite en 2004 par le cabinet Ernst & Young. Les documents expliquant les différentes idées de planification considérées, dont les trois (3) projets alternatifs de réorganisation, ont été déposés en preuve.

V. La question litige

[52] La seule question en litige consiste à déterminer si la série d’opérations a eu pour effet de contourner d’une manière abusive, l’esprit et l’objet des dispositions concernant le calcul des gains en capital prévues aux articles 38, 39 et 40 de la Loi et le calcul du dividende en capital et du compte de dividendes en capital prévues aux paragraphes 83(2) et 89(1) de la Loi et au paragraphe 55(2) de la Loi.

VI. Les dispositions législatives

[53] Les dispositions législatives pertinentes de la Loi permettant de disposer du présent appel sont les paragraphes 55(2), 83(2), 89(1) et 245(1) à (5). Ces dispositions, dans leur version applicable à l’année d’imposition 2005, sont reproduites en annexe du présent jugement.

VII. Position des parties

Position de l’appelante

[54] Selon les avocats de l’appelante, la planification faite par Ernst & Young est à la fois légitime et non abusive parce qu’elle s’inscrit dans le cadre de la vente véritable de la filiale Holdings à société sans lien de dépendance avec le groupe corporatif, soit Novartis.

[55] Certaines opérations ayant été faites dans des années antérieures à celle faisant l’objet du présent litige, la société mère Micsau détenait une participation ayant un prix de base rajusté élevé dans l’appelante. Ce faisant, Michel Saucier a fait tout en son pouvoir afin de vendre les actions de 3295940, ce que RoundTable et Novartis ont refusé, faute d’intérêt et par peur d’hériter de certains passifs de 3295940. La réorganisation de 2004 visait donc à réaliser le coût d’acquisition dans le calcul du gain en capital lors de la vente des actions de Holdings.

[56] L’appelante soutient que l’utilisation du prix de base rajusté des actions détenues par sa société mère lors de la vente de sa participation dans Holdings n’entraîne pas un abus de la Loi. En se basant sur les commentaires émis par le ministre des Finances du Canada, les avocats de l’appelante concluent que le transfert de déductions, crédits ou pertes dans le même groupe corporatif ne peut mener à un abus des dispositions concernant le calcul du gain en capital. Le gain en capital reconnu lors de la vente des actions de Holdings ne reflète que la réalité de la réalisation du coût d’acquisition et ne devrait pas faire l’objet d’une double imposition. Au final, le résultat global d’une telle vente ne devrait entraîner une imposition qu’au niveau du gain en capital net. Les avocats se basent principalement sur les commentaires du Juge Noël dans l’affaire Triad Gestco Ltd c. Canada, 2012 CAF 258 [Triad Gestco].

[57] Se fiant sur la décision rendue dans l’affaire Oxford Properties Group Inc. c. La Reine, 2016 CCI 204, renversée en appel, 2018 CAF 30, [Oxford], l’appelante explique que la règle générale anti-évitement ne peut s’appliquer à un objectif qui n’est pas spécifiquement prévu à une disposition. Par exemple, dans Oxford, précitée, alors que le paragraphe 100(1) de la Loi empêche l’évitement d’une récupération latente, la règle générale anti-évitement ne peut s’appliquer lorsque le contribuable procède à la majoration de la base fiscale. En effet, il ne peut y avoir abus de la disposition si ce n’est pas ce que la disposition cherche à empêcher. De même, la règle générale anti-évitement ne peut s’appliquer à la série d’opérations visée, de par le fait que le régime du compte de dividendes en capital et le paragraphe 55(2) de la Loi ne cherchent pas à empêcher l’utilisation de la base fiscale par majoration implicite.

[58] Les avocats de l’appelante ne voient pas la clarté de l’abus des dispositions visant le dividende en capital. Le mécanisme du dividende en capital, inter relié avec celui du compte de dividende en capital, soutient le principe d’équité de la Loi en assurant qu’un montant ne soit imposé qu’une seule fois. Les dispositions en cause ont plutôt assuré que la moitié du gain en capital soit resté non imposable et transféré dans les mains de son actionnaire physique, toujours sans imposition.

[59] Le choix de désigner un dividende en capital, alors que le compte de dividende en capital le permet, n’est pas un abus en soi du paragraphe 55(2) de la Loi. En effet, cette disposition anti-évitement ne vise que les dividendes imposables, et les dividendes en capital n’en font conséquemment pas partie.

[60] Les avocats de l’appelante soulèvent que la réorganisation, telle qu’elle a été réalisée, n’est pas l’alternative la plus avantageuse pour l’appelante. En effet, trois propositions ont été soumises à RoundTable afin de minimiser l’impact fiscal pour l’appelante de la vente de sa participation dans Holdings. Ces trois propositions ont toute été rejetées, faute de temps et d’intérêt autant de l’acheteur que de RoundTable. Cela étant, le groupe corporatif dont fait partie l’appelante a procédé à une réorganisation permettant un gain en capital moindre, mais plus élevé qu’auraient permis les propositions précédentes. Les avocats de l’appelante mettent en lumière l’importance des transactions alternatives dans l’établissement du caractère abusif des transactions en se basant sur la décision du juge Webb de la Cour d’appel fédérale dans Univar Holdco Canada ULC c. La Reine, 2016 CCI 159, 2017 CAF 207 [Univar].

[61] Selon cette décision, les opérations alternatives constituent un élément pertinent pour décider s’il y a eu abus dans l’application des dispositions de la Loi. Si le contribuable parvient à démontrer qu’il aurait pu accomplir le même résultat sans assujettissement à l’impôt, cela penche vers la non-application de la règle générale anti-évitement. Selon les avocats de l’appelante, les opérations alternatives auraient entrainé un résultat honnête, celui de faire correspondre le coût d’acquisition d’une participation dans l’entreprise au produit reçu lors de la vente finale de cette même participation dans l’entreprise.

[62] Enfin, l’appelante indique, qu’à son avis, la pertinence des transactions alternatives ne doit pas être déterminée selon la possibilité qu’elles puissent être mises sur pied, mais plutôt selon qu’elles produisent ou non le même résultat. Ce faisant, les opérations alternatives proposées par l’appelante à RoundTable et Novartis auraient permis un impôt relativement plus bas, donc un avantage fiscal plus important.

Position de l’intimée

[63] La règle générale anti-évitement permet au ministre, et ultimement à la Cour, de « supprimer les avantages fiscaux de certains mécanismes qui sont conformes à une interprétation littérale des dispositions de la Loi, mais qui constituent un abus dans l’application de ces dispositions ».

  • [64]Bien que les opérations respectent la lettre des dispositions visées, il s’agit de déterminer si les opérations sont conformes à l’objet et à l’esprit de celles-ci. Il appartient à l’intimée de décrire l’objet de ces dispositions législatives et d’en prouver l’abus selon l’une des circonstances suivantes :

  1. entraîne un résultat que la disposition vise à empêcher;

  2. va à l’encontre de la raison d’être de la disposition; ou

  3. contourne l’application d’une disposition de manière à contrecarrer l’objet ou l’esprit de cette disposition.

[65] Selon l’intimée, la série d’opérations mise en place par 3295940 a permis de contourner l’application du paragraphe 55(2) de la Loi, par le biais d’une utilisation inappropriée du régime du compte de dividende en capital, afin de réduire de 31 500 000 $ le gain en capital réalisé par 3295940 lié à la disposition des actions de Holdings.

[66] Par l’entremise de diverses transactions, l’appelante a entraîné le mouvement de la base fiscale détenue par sa société-mère Micsau afin d’ainsi réaliser cette base fiscale dans le gain en capital latent des actions de Holdings. En effet, le solde du compte de dividende du capital de 3295940 provenant de la réalisation d’une portion du gain sur les actions de Holdings, a été transféré à 4244, puis retourné à 3295940 dans le cadre d’un rachat croisé d’actions. Le compte de dividende en capital provenant de cette réalisation partielle du gain a été utilisé pour effacer la portion restante du gain de 3295940 sur les actions de Holdings.

[67] Par conséquent, les opérations en cause ont mené à un résultat que l’article 55(2) de la Loi vise à empêcher, soit le dépouillement de surplus par la déclaration de dividendes intercorporatifs imposables, mais déductibles au sens de la Partie I de la Loi. La Couronne se fie en partie sur l’affaire D&D Livestock c. La Reine, 2013 CCI 318 [D&D Livestock] pour étayer son argumentaire entourant l’abus du paragraphe 55(2) de la Loi en faisant le parallèle entre l’utilisation dédoublée du revenu protégé, dans D&D Livestock, et l’utilisation circulaire et dédoublée d’un dividende en capital dans la présente affaire.

[68] La série d’opérations a donc été effectuée pour un objet non-véritable. En effet, selon l’intimée, l’appelante ne cherchait qu’à réduire le gain en capital attribuable à la vente de son bloc d’actions et donc, son impôt payable lors de la vente. Ce faisant, si une des opérations de la série n’a pas été principalement effectuée pour un objet véritable non fiscal, il s’agit alors d’une opération d’évitement et la règle générale anti- évitement permet alors de supprimer l’avantage fiscal qui découle de la série d’opérations.

[69] Puisqu’il y a eu évitement fiscal abusif des paragraphes 55(2) de la Loi et des articles qui concernent le dividende en capital, de par le fait qu’une portion de la plus-value de la participation de 3295940 dans Holdings ne sera jamais imposée, le ministre était justifié d’appliquer l’article 245 de la Loi afin d’inclure un montant de 31 500 000 $ à titre de gain en capital dans le calcul de son revenu pour l’année d’imposition 2005. La cotisation visait donc à supprimer l’avantage fiscal obtenu par l’appelante.

[70] Selon l’intimée, le résultat global de la série d’opérations fait fi des personnalités juridiques distinctes d’une société et de son actionnaire et du régime d’imposition des gains en capital. Ce faisant, l’utilisation inappropriée du régime du compte de dividende en capital n’a pas respecté le principe d’intégration mise en place de la Loi.

[71] Les opérations alternatives présentées par l’appelante ne peuvent avoir les poids que leur accorde la partie adverse au sens de l’affaire Univar, précitée. Selon l’intimée, les trois propositions ne représentent pas des scénarios comparables qui auraient entraîné le même résultat, puisque les actions vendues auraient alors été celles de 3295940. Se fiant principalement sur l’affaire Fiducie financière Satoma c. La Reine, 2017 CCI 84 et confirmée en appel 2018 CAF 74, [Satoma], la Couronne fait valoir que les opérations alternatives proposées doivent à tout le moins être des exemples de comparaison valables, en ce que l’essence même des transactions doit essentiellement être le même dans chacune des alternatives.

VIII. Analyse

Application de la règle générale anti-évitement (la « RGAÉ »)

[72] Les conditions générales d’application de la RGAÉ ont été énoncées aux paragraphes 30 à 44 du jugement que j’ai rendu dans l’affaire Pomerleau c. La Reine, 2016 CCI 228, et confirmé en appel par le juge Noël, 2018 CAF 129. Ces paragraphes sont ci-après reproduits sans modification :

[30] L’arrêt phare en ce qui a trait aux critères d’analyse pertinents dans le cadre de l’application de la RGAÉ provient de la Cour suprême du Canada dans Hypothèques Trustco Canada c. Canada, [2005] 2 R.C.S. 601. Il en découle que trois conditions doivent être satisfaites afin que la RGAÉ puisse être appliquée, auquel cas le paragraphe 245(2) de la Loi permet au ministre de refuser l’avantage fiscal découlant de la série d’opérations d’évitement en cause et de déterminer quelles devraient en être les conséquences fiscales raisonnables.

[31] Aux paragraphes 65 et 66 de l’arrêt Hypothèques Trustco Canada c. Canada, précité, la Cour suprême du Canada expliquait la démarche qui doit être suivie par les tribunaux dans le cadre d’une telle analyse :

65 En pratique, c'est le dernier énoncé qui est important. Une fois qu'il a démontré qu'il respecte le libellé d'une disposition, le contribuable ne devrait pas avoir à prouver qu'il n'a pas, de ce fait, contrevenu à l'objet ou à l'esprit de la disposition. Il appartient au ministre qui tente d'invoquer la RGAÉ de décrire l'objet ou l'esprit des dispositions qui auraient été contournées, selon une interprétation textuelle, contextuelle et téléologique des dispositions de la Loi. Le ministre est mieux placé que le contribuable pour présenter des observations sur l'intention du législateur dans le but d'interpréter les dispositions de façon harmonieuse avec le régime législatif général qui s'applique à l'opération en cause.

66 L’approche relative à l’art. 245 de la Loi de l’impôt sur le revenu peut se résumer ainsi.

1. Trois conditions sont nécessaires pour que la RGAÉ s'applique :

(1) il doit exister un avantage fiscal découlant d'une opération ou d'une série d'opérations dont l'opération fait partie (par. 245(1) et (2));

(2) l’opération doit être une opération d'évitement en ce sens qu'il n'est pas raisonnable d'affirmer qu'elle est principalement effectuée pour un objet véritable - l'obtention d'un avantage fiscal n'étant pas considérée comme un objet véritable;

(3) il doit y avoir eu évitement fiscal abusif en ce sens qu'il n'est pas raisonnable de conclure qu'un avantage fiscal serait conforme à l'objet ou à l'esprit des dispositions invoquées par le contribuable.

2. Il incombe au contribuable de démontrer l'inexistence des deux premières conditions, et au ministre d'établir l'existence de la troisième condition.

3. S’il n'est pas certain qu'il y a eu évitement fiscal abusif, il faut laisser le bénéfice du doute au contribuable.

4. Les tribunaux doivent effectuer une analyse textuelle, contextuelle et téléologique unifiée des dispositions qui génèrent l'avantage fiscal afin de déterminer pourquoi elles ont été édictées et pourquoi l'avantage a été conféré. Le but est d'en arriver à une interprétation téléologique qui s'harmonise avec les dispositions de la Loi conférant l'avantage fiscal, lorsque ces dispositions sont lues dans le contexte de l'ensemble de la Loi.

5. La question de savoir si les opérations obéissaient à des motivations économiques, commerciales, familiales ou à d'autres motivations non fiscales peut faire partie du contexte factuel dont les tribunaux peuvent tenir compte en analysant des allégations d'évitement fiscal abusif fondées sur le par. 245(4). Cependant, toute conclusion à cet égard ne constituerait qu'un élément des faits qui sous-tendent l'affaire et serait insuffisante en soi pour établir l'existence d'un évitement fiscal abusif. La question centrale est celle de l'interprétation que les dispositions pertinentes doivent recevoir à la lumière de leur contexte et de leur objet.

6. On peut conclure à l'existence d'un évitement fiscal abusif si les rapports et les opérations décrits dans la documentation pertinente sont dénués de fondement légitime relativement à l'objet ou à l'esprit des dispositions censées conférer l'avantage fiscal, ou si ces rapports et opérations diffèrent complètement de ceux prévus par les dispositions.

7. Si le juge de la Cour de l'impôt s'est fondé sur une interprétation correcte des dispositions de la Loi de l'impôt sur le revenu et sur des conclusions étayées par la preuve, les tribunaux d'appel ne doivent pas intervenir en l'absence d'erreur manifeste et dominante.

[32] Les parties ont reconnu que les deux premiers critères d’applicabilité de la RGAÉ, soit la présence d’une opération d’évitement dans la série d’opérations et d’un avantage fiscal, étaient satisfaits. Ainsi, la seule question à trancher pour régler le présent appel consiste à déterminer si l’opération d’évitement ou la série d’opérations d’évitement donnant lieu à l’avantage fiscal était abusive au sens du paragraphe 245(4) de la Loi.

Fardeau de la preuve

[33] Il appartient au ministre d’établir, selon la balance des probabilités, qu’il existe un évitement fiscal abusif au sens du paragraphe 245(4) de la Loi. Pour ce faire, le ministre doit faire valoir que, compte tenu du texte, du contexte et de l’objet des dispositions en cause, l’opération d’évitement ou la série d’opérations d’évitement contrecarre l’objet ou l’esprit des dispositions de la Loi.

[34] La RGAÉ s’appliquera donc lorsque, selon une interprétation littérale ou stricte des dispositions pertinentes, leur application a été contournée et que l’objet ou l’esprit des dispositions en cause serait ainsi contrecarré (voir le paragraphe 66 de l’arrêt Hypothèques Trustco Canada c. Canada, précité et le paragraphe 21 de l’arrêt Lipson c. La Reine, [2009] 1 R.C.S. 3).

[35] Par ailleurs, tel que le rappelait la Cour suprême du Canada au paragraphe 66 de l’arrêt Hypothèques Trustco Canada c. Canada, précité, s’il subsiste un quelconque doute quant à savoir si l’opération d’évitement ou la série d’opérations d’évitement constitue un évitement fiscal abusif, ce doute doit profiter au contribuable.

Évitement fiscal abusif

[36] Comme l’indiquait la Cour suprême du Canada dans Hypothèques Trustco Canada c. Canada, précité, le paragraphe 245(4) de la Loi requiert une analyse en deux étapes afin de déterminer si une opération d’évitement ou la série d’opérations d’évitement contrecarre l’objet ou l’esprit d’une disposition de la Loi:

55 En résumé, le par. 245(4) prescrit un examen en deux étapes. La première étape consiste à déterminer l'objet ou l'esprit des dispositions de la Loi de l'impôt sur le revenu qui sont invoquées pour obtenir l'avantage fiscal, eu égard à l'économie de la Loi, aux dispositions pertinentes et aux moyens extrinsèques admissibles. La deuxième étape consiste à examiner le contexte factuel de l'affaire pour déterminer si l'opération d'évitement contrecarrait l'objet ou l'esprit des dispositions en cause.

[37] La première étape consiste donc à déterminer l’objet et l’esprit des dispositions à l’origine de l’avantage fiscal en effectuant une analyse textuelle, contextuelle et téléologique unifiée de celles-ci. En effet, il peut arriver que « [l]a raison d’être de la disposition peut ne pas ressortir de la seule signification des mots euxmêmes (voir le paragraphe 70 de la décision Copthorne Holdings Ltd. c. La Reine, [2011] 3 R.C.S. 721).

[38] La deuxième étape consiste à déterminer si l’objet ou l’esprit des dispositions en cause a été frustré par l’opération d’évitement ou par la série d’opérations d’évitement (voir le paragraphe 65 de l’arrêt Hypothèques Trustco Canada c. Canada, précité). Cette étape « oblige à examiner attentivement les faits pour décider si l’attribution d’un avantage fiscal serait conforme à l’objet ou à l’esprit des dispositions invoquées par le contribuable » (voir le paragraphe 59 de l’arrêt Hypothèques Trustco Canada c. Canada, précité).

[39] En raison de leur importance, il convient de reproduire ci-après les paragraphes 44, 45, 46, 49 et 50 de l’arrêt Hypothèques Trustco Canada c. Canada, précité :

44 L’interprétation contextuelle et téléologique des dispositions de la Loi invoquées par le contribuable et l'application des dispositions interprétées correctement aux faits d'une affaire donnée sont au cœur de l'analyse fondée sur le par. 245(4). Il faut d'abord interpréter les dispositions générant l'avantage fiscal pour en déterminer l'objet et l'esprit. Il faut ensuite déterminer si l'opération est conforme à cet objet ou si elle le contrecarre. L'analyse globale porte donc sur une question mixte de fait et de droit. L'interprétation textuelle, contextuelle et téléologique de dispositions particulières de la Loi de l'impôt sur le revenu est essentiellement une question de droit, mais l'application de ces dispositions aux faits d'une affaire dépend nécessairement des faits.

45 Cette analyse aboutit à une conclusion d'évitement fiscal abusif dans le cas où le contribuable se fonde sur des dispositions particulières de la Loi de l'impôt sur le revenu pour obtenir un résultat que ces dispositions visent à empêcher. Ainsi, il y a évitement fiscal abusif lorsqu'une opération va à l'encontre de la raison d'être des dispositions invoquées. Un mécanisme qui contourne l'application de certaines dispositions, comme des règles anti-évitement particulières, d'une manière contraire à l'objet ou à l'esprit de ces dispositions peut également donner lieu à un abus. Par contre, l'existence d'un abus n'est pas établie lorsqu'il est raisonnable de conclure qu'une opération d'évitement au sens du par. 245(3) était conforme à l'objet ou à l'esprit des dispositions conférant l'avantage fiscal.

46 Une fois que les dispositions de la Loi de l'impôt sur le revenu sont interprétées correctement, la question de fait à laquelle doit répondre le juge de la Cour de l'impôt est de savoir si, en supprimant l'avantage fiscal, le ministre a établi l'existence d'un évitement fiscal abusif au sens du par. 245(4). Pourvu que le juge de la Cour de l'impôt se soit fondé sur une interprétation correcte des dispositions de la Loi et sur des conclusions étayées par la preuve, les tribunaux d'appel ne doivent pas intervenir en l'absence d'erreur manifeste et dominante.

[…]

49 Dans tous les cas où l'applicabilité du par. 245(4) est en cause, la question centrale est de savoir si, compte tenu du texte, du contexte et de l'objet des dispositions invoquées par le contribuable, l'opération contrecarre l'objet ou l'esprit de ces dispositions. Les points suivants sont dignes de mention :

(1) Bien que les notes explicatives emploient les mots "exploiter, [...] détourner ou [...] frustrer", il semble que ces trois termes soit synonymes et que le mot "frustrer" au sens de "contrecarrer" permet le mieux d'en saisir le sens.

(2) Les notes explicatives indiquent que la RGAÉ est censée s'appliquer lorsque, selon une interprétation littérale des dispositions de la Loi de l'impôt sur le revenu, l'objet et l'esprit de ces dernières seraient contrecarrés.

(3) Les notes explicatives précisent que la RGAÉ doit être appliquée à la lumière des faits de l'affaire en cause dans le contexte de l'agencement de la Loi de l'impôt sur le revenu.

(4) Les notes explicatives indiquent également que les dispositions de la Loi de l'impôt sur le revenu visent les opérations ayant une raison d'être économique.

50 Comme nous l'avons vu, le législateur cherchait à prévenir l'évitement fiscal abusif tout en maintenant l'uniformité, la prévisibilité et l'équité en matière de droit fiscal, et la RGAÉ ne permet de supprimer un avantage fiscal que dans les cas où l'opération en cause est manifestement abusive.

[40] Dans l’arrêt Lipson, précité, la majorité des juges de la Cour suprême du Canada a décrit les paragraphes 44 et 45 de l’arrêt Hypothèques Trustco Canada c. Canada, précité, comme capturant l’essentiel de l’approche retenue par la Cour lorsqu’elle fait face à la RGAÉ. La Cour y écrivait au paragraphe 40 :

Suivant le cadre d’analyse établi dans l’arrêt Trustco Canada, une opération d’évitement peut entraîner un abus dans l’application de la Loi de trois façons : a) elle donne lieu à un résultat que les dispositions invoquées visent à empêcher, b) elle va à l’encontre de la raison d’être de ces dispositions ou c) elle contourne l’application de certaines dispositions de manière à contrecarrer leur objet ou leur esprit (Trustco Canada, par. 45).

[41] Au paragraphe 44 de l’arrêt Gwartz c. La Reine, 2013 CCI 86, le juge Hogan a passé en revue certains principes ayant trait, entre autres, à « (i) la planification fiscale en général; (ii) la pertinence d’utiliser la RGAÉ comme mesure visant à combler les lacunes; et (iii) l’existence d’une politique générale dans la LIR relativement au dépouillement de surplus ».

[42] Le juge Hogan a en effet référé aux arrêts Hypothèques Trustco Canada c. Canada et Copthorne, précités. Ces arrêts ont chacun réitéré le principe selon lequel toute planification fiscale visant à réduire la facture fiscale d’un contribuable ne constitue pas, en soi, un évitement fiscal abusif au sens du paragraphe 245(4) de la Loi. Dans l’arrêt Hypothèques Trustco Canada c. Canada, précité, la Cour suprême du Canada indiquait ce qui suit :

61 Une interprétation correcte du libellé des dispositions de la Loi de l'impôt sur le revenu ainsi que le contexte factuel pertinent d'une affaire donnée permettent d'établir un équilibre entre la nécessité de prévenir l'évitement fiscal abusif et celle de maintenir la certitude, la prévisibilité et l'équité en droit fiscal afin que les contribuables puissent organiser leurs affaires en conséquence. Le législateur souhaite que les contribuables profitent pleinement des dispositions de la Loi qui confèrent des avantages fiscaux. Il n'a pas voulu que la RGAÉ mine ce précepte fondamental du droit fiscal.

[43] En d’autres mots, « [o]n ne peut conclure qu'il y a évitement fiscal abusif si on reproche seulement au contribuable d'avoir fait abus d'une politique générale non fondée sur les dispositions de la LIR » (voir le paragraphe 47 de la décision Gwartz, précitée). Il serait ainsi « inapproprié, si les opérations ne sont pas par ailleurs contraires à l'objet et à l'esprit des dispositions de la LIR, d'appliquer la RGAÉ pour supprimer un avantage fiscal résultant du fait qu'un contribuable a exploité une lacune légale passée inaperçue jusqu'alors » (voir le paragraphe 50 de la décision Gwartz, précitée).

[44] Le paragraphe 50 de la décision Gwartz, précitée, rappelle par ailleurs que les tribunaux ont, à plusieurs reprises, fait valoir que le dépouillement de surplus ne constitue pas, en soi, un évitement fiscal abusif. La Cour suprême l’avait notamment réitéré dans l’arrêt Copthorne, précité, où elle écrivait au paragraphe 118 :

Copthorne rétorque que seule l’existence d’une politique générale défavorable au dépouillement de surplus pourrait fonder pareille conclusion. Or, vu l’absence d’une telle politique, l’objet ou l’esprit du par. 87(3) ne peut être de prévenir le dépouillement de surplus par l’addition de CV. Cet argument prend appui sur la mise en garde de notre Cour dans Trustco, à savoir que « [l]es tribunaux ne peuvent chercher une politique prépondérante de la Loi qui n’est pas fondée sur une interprétation textuelle, contextuelle et téléologique unifiée des dispositions en cause » (par. 41). Ce qui n’est pas permis, c’est de conclure à l’abus sur le fondement d’un énoncé de principe général — contre le dépouillement de surplus, par exemple — qui n’a aucun lien avec les dispositions en cause. Cependant, l’objectif fiscal relevé dans les présents motifs prend appui sur les dispositions de la Loi relatives au CV, et non sur une politique formulée en termes généraux. La démarche s’attache à la raison d’être des dispositions sur le CV précisément en liaison avec la fusion et le rachat, et non avec une politique générale étrangère au régime en cause.

Les dispositions législatives en cause

[73] L’analyse doit porter sur l’objet ou l’esprit de la disposition à l’origine de l’avantage fiscal et doit chercher à savoir si les opérations en cause ont pour effet de les contrecarrer (voir le paragraphe 69 de l’arrêt Hypothèques Trustco Canada c. Canada, [2005] 2 R.C.S. 601 [Trustco]).

[74] Dans la présente affaire, le ministre prétend que la série d’opérations a permis au contribuable de contourner l’application des paragraphes 55(2), 83(2) et 89(1) de la Loi de manière non conforme à l’objet ou à l’esprit de chacune de ces dispositions, résultant ainsi directement ou indirectement en un abus des dispositions de la Loi, lue dans son ensemble.

L’objet et l’esprit des paragraphes 83(2) et 89(1) de la Loi

Analyse textuelle

[75] Dans les causes ayant trait à la RGAÉ, l’interprétation littérale d’une disposition ne permettra généralement pas de déterminer s’il y a eu abus de la disposition, ou si elle été contournée. Toutefois, le texte même de la disposition demeure pertinent aux fins de déterminer l’objet ou l’esprit que celle-ci renferme (voir le paragraphe 88 de l’arrêt Copthorne Holdings Ltd. c. La Reine, [2011] 3 R.C.S. 721 [Copthorne]).

[76] Le juge Hogan, au paragraphe 39 de la décision The Gladwin Realty Corporation v. Canada, 2019 CCI 62 [Gladwin CCI] et confirmée par la Cour d’appel fédérale, 2020 CAF 142 [Gladwin CAF], analyse les dispositions qui concernent le compte de dividende en capital, interprétation à laquelle souscrit le juge Noël aux paragraphes 22 et 23 de la décision confirmée en Cour d’appel fédérale :

[39] Il est largement reconnu qu’un compte de dividendes en capital est un compte théorique que tiennent les sociétés privées pour prendre acte de certains types d’excédents exonérés d’impôt qui s’accumulent dans le temps. À cet égard et selon la définition du CDC, une société privée peut établir le solde de son CDC à un certain moment de manière à pouvoir choisir, sous la forme prescrite, de verser un dividende en capital exonéré d’impôt à ses actionnaires sans tomber sous le coup de la partie III de la Loi. Ainsi, on détermine à un certain moment le solde du CDC suivant la définition au paragraphe 89(1) en ajoutant entre autres (i) la partie exonérée d’impôt des gains en capital, (ii) le montant des dividendes en capital libres d’impôt reçus par la société d’autres sociétés et (iii) le produit de certaines polices d’assurance-vie et en soustrayant notamment (iv) la partie non déductible des pertes en capital et (v) les dividendes en capital distribués antérieurement. […]

[77] Dans Gladwin CAF, le juge Noël ajoute :

[57] Comme le solde du CDC est calculé à partir des sommes permises susceptibles d’être distribuées en franchise d’impôt, il est positif, par définition. Or, sur le plan mathématique, les sommes qui font diminuer le CDC sont comptabilisées, et ce même si elles portent le solde du CDC à une valeur inférieure à zéro. Dans ce cas, le CDC ne peut redevenir positif qu’après compensation par les sommes permises par le paragraphe 89(1). […]

[58] La société privée dont le CDC est positif peut en distribuer l’excédent, en franchise d’impôt, par le versement de dividendes en capital, mais seulement jusqu’à concurrence du solde du CDC de la société, établi juste avant la date où le dividende est payable (par. 83(2)). La société qui verse un dividende en capital supérieur au solde de son CDC est assujettie à l’impôt supplémentaire, prévu à la partie III de la Loi, plus précisément au paragraphe 184(2), à moins qu’elle fasse le choix, avec l’accord des actionnaires intéressés, de traiter l’excédent comme un dividende imposable (par. 184(3) et 184(4)).

[78] Plus précisément, le compte de dividende en capital permet d’identifier les montants libres d’impôts accumulés par une société afin d’en permettre la distribution ultérieure aux actionnaires au moyen de dividendes en capital.

[79] Le choix de verser un dividende en capital provient du paragraphe 83(2) de la Loi. Le choix de verser un dividende en capital doit viser le plein montant du dividende (Agence du Revenu du Canada, Bulletin d’interprétation IT-66R6, « Dividendes en capital » (31 mai 1991), par. 1). Lorsqu’une société privée choisit, sur le formulaire prescrit (T2054), de payer à ses actionnaires un dividende en capital, aucune partie dudit dividende n’est incluse dans le calcul du revenu de l’actionnaire.

[80] Si le dividende en capital est reçu par une société, le plein montant du dividende est ajouté à son compte de dividende en capital et lui permet ainsi de verser à son tour un montant de dividende non imposable pour son propre actionnaire (Agence du Revenu du Canada, Bulletin d’interprétation IT-66R6, « Dividendes en capital » (31 mai 1991), par. 14).

[81] Que le dividende soit reçu par une société-actionnaire ou par un particulier-actionnaire, le dividende en capital n’est pas inclus dans le calcul du revenu de l’actionnaire en questions (voir le paragraphe 40 de Gladwin CCI).

Analyse contextuelle

[82] Dans l’arrêt Copthorne, précité, la Cour suprême du Canada a indiqué au paragraphe 91 que « l’examen du contexte suppose l’examen d’autres dispositions de la Loi, ainsi que des moyens extrinsèques admissibles […]. Cependant, toutes les dispositions de la Loi ne sont pertinentes pour la définition du contexte de la disposition en cause. La pertinence tient en fait au « regroupement » des dispositions ou à leur interaction pour la mise en œuvre d’un plan plausible et cohérent ».

[83] Dans l’affaire Gladwin CCI, précitée, au paragraphe 23, le juge Hogan explique que « l’historique législatif du régime de CDC vient confirmer l’objet des paragraphes 89(1) [et] 83(2) […], qui consistait à donner effet au principe dit de l’intégration ». Ces dispositions ont effectivement été adoptées dans le cadre du Rapport de 1966 de la Commission royale d’enquête sur la fiscalité dans le but d’encourager les Canadiens à investir et à se lancer en affaires en leur nom personnel ou par l’entremise d’une société.

[84] Il y a lieu de préciser ici que les modifications apportées au paragraphe 89(1) de la Loi depuis son introduction ne sont pas pertinentes à la question en litige.

[85] Pour ce qui est du rapprochement entre le régime attribuable au CDC et le mécanisme de versement des dividendes en capital, le juge Noël, dans l’affaire Gladwin CAF, explique ce qui suit :

[76] À cet égard, je fais remarquer que l’existence d’un solde de CDC positif, quelle que soit la manière dont il est généré, est la seule condition préalable à la déclaration d’un dividende en capital. […]

Analyse téléologique

[86] À cette étape de l’analyse, la Couronne doit démontrer l’esprit sous-jacent de la disposition en cause de manière précise (voir le paragraphe 94 de l’arrêt Lipson v. Canada, [2009] 1 S.C.R. 3 (Lipson), le paragraphe 41 de l’arrêt Trustco, précité, et le paragraphe 30 de la décision Evans c. La Reine, 2005 CCI 684).

[87] Les dispositions visant le régime du compte de dividende en capital permettent que la portion non imposable des gains en capital réalisés par une société privée puisse être distribuée sans générer d’imposition additionnelle. Ainsi, le montant d’impôt à payer reste le même, que le gain soit réalisé dans les mains d’un individu ou par le biais d’une société.

[88] Le concept a été mis de l’avant de nouveau dans l’affaire 2529-1915 Québec Inc. et al. c. La Reine, 2008 CAF 398, où le juge Noël s’exprime comme suit :

[8] Avant de poursuivre, quelques mots sur le fonctionnement des CDC sont de mise. Un CDC est constitué par la portion non-imposable d’un gain en capital généré par une société (la moitié du gain réalisé pendant la période qui nous occupe). L’objectif législatif est de permettre qu’un gain en capital soit imposé de même façon, qu’il soit réalisé en main propre par un particulier ou indirectement par l’entremise de sa société. Le système mis en place prévoit à cette fin que, sujet à ce que les choix prescrits soient effectués, la partie non-imposable d’un gain en capital une fois incluse dans un CDC par la société qui l’a réalisé, préserve son caractère exempt lorsque transmis d’une société à une autre par voie de dividende et ce, jusqu’à sa distribution ultime à un particulier sous forme de dividende non-imposable aussi appelé « dividende en capital ».

[89] En fait, le régime du CDC « neutralis[e] l’incidence d’une société interposée dans le calcul de l’impôt sur les gains en capital. Comme la moitié des gains en capital est imposable (art. 38), le législateur a prévu un mécanisme par lequel une société peut préserver la portion non imposable du gain en vue de la distribution à un actionnaire en franchise d’impôt. Ce mécanisme régit le calcul du CDC. Essentiellement, le régime du CDC fait en sorte que seule la portion non imposable est distribuée aux actionnaires par le jeu de dividendes en capital; ainsi, le traitement sur le plan fiscal est le même que celui du contribuable qui est un particulier ayant généré le gain directement » (Gladwin CAF, par. 60).

L’objet et l’esprit du paragraphe 55(2) de la Loi

[90] Comme je l’ai précisé dans l’affaire 101139810 Saskatchewan Ltd. c. La Reine, 2017 CCI 3 [Saskatchewan], l’interprétation de l’article 55 a fait l’objet de nombreuses discussions dans le passé. Certains auteurs et certains juges (voir la décision D&D Livestock, précitée, au paragraphe 26, ainsi que l’arrêt Lamont Management Ltd. c. Canada, [2000] 3 CF 508, [2000] 54 DTC 6256 (CAF), au paragraphe 20) ont caractérisé la disposition comme étant complexe et manquant de clarté. Toutefois, il est à noter que l’objet visé d’une disposition ne peut remplacer un texte législatif qui est clair (Placer Dome Inc. c. Canada, [1996] ACF no 1435 (QL), [1997] 1 CTC 72).

Analyse textuelle

[91] Bien que dans les causes ayant trait à la RGAÉ, l’application littérale de la disposition en cause n’interdit généralement pas l’avantage fiscal que le contribuable tente d’obtenir au moyen de la série d’opérations réalisées, le texte même de la disposition demeure pertinent aux fins de déterminer l’objet ou l’esprit que celle-ci renferme (voir le paragraphe 88 de l’arrêt Copthorne, précité).

[92] La règle prévue au paragraphe 55(2) de la Loi s’applique lorsque sont remplies les conditions suivantes (voir Saskatchewan, précitée, par. 12) :

[12] […]

a) la contribuable est une société résidant au Canada;

b) la contribuable a reçu un dividende imposable à l’égard duquel elle a droit à une déduction aux termes des paragraphes 112(1) ou (2);

c) le dividende a été reçu dans le cadre d’une opération ou d’une série d’opérations, ce qui est réputé par le paragraphe 248(10) de la Loi inclure toute opération ou tout événement effectué en prévision de la série;

d) si une société a déclaré et payé les dividendes, l’un des objets du dividende était de diminuer sensiblement la partie du gain en capital qui, sans le dividende, aurait été réalisée lors de la disposition d’une action à sa juste valeur marchande; ou dans le cas de dividendes réputés aux termes du paragraphe 84(3) de la Loi, ce qui est le cas dans les présents appels, si le résultat (et non l’objet) du dividende était de diminuer sensiblement la partie du gain en capital qui, sans le dividende réputé, aurait été réalisé lors de la disposition d’une action à la juste valeur marchande.

[93] Il existe toutefois quatre exceptions au paragraphe 55(2) :

  1. La première est incluse dans la disposition d’application et vise les situations où le dividende peut être raisonnablement attribuable à un revenu gagné ou réalisé par une société quelconque après 1971 (le « revenu protégé »). Le revenu est protégé de l’application du paragraphe 55(2), parce qu’un revenu correspondant a été assujetti à l’impôt sur le revenu des sociétés et qu’il devrait dont être possible de le payer sous la forme d’un dividende libre d’imposition supplémentaire (Saskatchewan, précitée, par. 13). En l’espèce, tout le revenu protégé qui pouvait être extrait de Holdings l’a été et le bénéfice de cette exception a été maximisé par 3295940.

  2. La deuxième est prévue à l’alinéa 55(3)a) et vise le dividende qui est reçu dans le cadre de certaines opérations entre parties liées à condition qu’il n’y ait pas eu, à un moment quelconque, une disposition de biens ou une augmentation sensible de la participation directe totale dans une société, et ce, dans les circonstances décrites aux sous-alinéas 55(3)a)(i) à (v) (Saskatchewan, précitée, par. 14). L’exception prévue à l’alinéa 55(3)a) a pour but de faciliter les restructurations entre sociétés liées. Elle ne s’applique pas en l’espèce, car les dividendes payés entre 329540 et 4244 l’ont été dans le cadre d’une série d’opérations au terme de laquelle une importante transaction a été complétée avec un tiers non lié.

  3. La troisième exception est prévue à l’alinéa 55(3)b) et vise le dividende qui est reçu dans le cadre d’une réorganisation papillon, où les biens d’une société sont distribués au prorata parmi ses actionnaires, sur une base de roulement. L’objet de 55(3)b) est de permettre aux actionnaires d’une société de séparer leurs intérêts communs alors que se poursuivent les activités de l’entreprise, ce qui n’est pas arrivé dans le présent dossier. Cette exception n’a pas pour objet de permettre la vente à un tiers en franchise d’impôt des éléments d’actifs d’une société ou de la participation des actionnaires dans la société (Saskatchewan, précitée, par. 14).

  4. La quatrième exception est incluse dans la disposition d’application et vise les situations où le dividende est assujetti à l’impôt de la partie IV et que cet impôt n’est pas remboursé en raison du paiement d’un dividende à une société dans le cadre de la même série d’opérations. En l’espèce, cette exception n’est pas pertinente, car l’impôt de la partie IV n’est pas applicable aux dividendes en capital.

[94] Cette analyse textuelle permet de confirmer que le paragraphe 55(2) de la Loi ne s’applique pas sur un montant sur lequel l’impôt corporatif a déjà été appliqué, comme le revenu protégé ou les dividendes en capital. En l’espèce, n’eût été de sa désignation comme dividende en capital, le paragraphe 55(2) de la Loi se serait appliqué aux dividendes réputés payés entre 3295940 et 4244 au moment du rachat croisé des actions du 11 août 2004 (voir les paragraphes 57 à 67 de l’entente partielle sur les faits).

[95] Selon l’arrêt Canada c. Kruco Inc., 2003 CAF 284, [2003] ACF no 1012 (QL), au paragraphe 35, le paragraphe 55(2) de la Loi a pour effet de transformer un dividende autrement imposable en gain en capital pour la société qui reçoit effectivement le dividende :

Le paragraphe 55(2) prévoit (lu de pair avec l'alinéa 55(5)f)), en effet, que lorsqu'un dividende (versé ou réputé) a [entraîné] une réduction substantielle du gain en capital qu'aurait produit une vente fictive des actions à leur juste valeur marchande, et lorsque ce gain peut être raisonnablement attribué à autre chose qu'un « revenu gagné ou réalisé » après 1971, le dividende est réputé être un gain en capital pour ce qui concerne la proportion ainsi attribuée. Théoriquement, cette méthode permet de dégager l'impôt applicable à la portion du gain fictif attribuable à la plus-value des actifs sous-jacents tout en maintenant le régime d'exonération pour la partie du gain attribuable à un « revenu gagné ou réalisé » depuis 1971.

[96] « Autrement dit, le paragraphe 55(2) de la Loi demande : si la société avait vendu des actions avant d’avoir reçu le dividende, quel aurait été le montant du gain en capital? Ce gain en capital est le point de départ de la comparaison. » (Saskatchewan, précitée, par. 38).

Analyse contextuelle

[97] Le paragraphe 55(2) de la Loi s’inscrit dans le cadre du régime législatif attribuable aux gains et aux pertes en capital. Ce régime législatif a été élaboré en 1972. Avant cette date, les gains en capital n’étaient pas assujettis à l’impôt (Triad Gestco, précitée, par. 27).

[98] Depuis 1972, le gain en capital est assujetti à l’impôt selon un taux fixé par les législatures. Ce taux a été établi à 50%, 66,7% et 75% selon les époques, et se situait à 50% pour la période visée en l’espèce.

[99] Pour déterminer le montant du gain ou de la perte qui découle de la disposition d’un bien, il faut appliquer concurremment plusieurs dispositions de la Loi. Habituellement, un gain en capital est réalisé lorsqu’une immobilisation est vendue pour un « produit de disposition » supérieur au « prix de base rajusté ». Ces notions sont définies à l’article 54 de la Loi.

[100] Dans l’affaire Triad Gestco, précitée, au paragraphe 41, le juge Noël reprend les observations formulées par la Chambre des Lords par l’arrêt WT Ramsay Ltd v. Inland Revenue Commissioners, [1981] 1 A11 ER 865, (à la page 873) :

[Traduction] L’impôt sur les gains en capital a été institué pour s’appliquer dans un monde réel et non dans un monde fictif. Comme je l’ai dit dans l’arrêt Aberdeen Construction Ltd. c. Inland Revenue Comrs, [1978] 1 All ER 962, à la page 996, [1978] AC 885, à la page 893, [1978] STC 127, à la page 131, il s’agit d’un impôt sur les gains (j’aurais pu ajouter sur les gains moins les pertes), il ne s’agit pas d’un impôt sur des différences mathématiques.

[101] Ainsi, au Canada, le régime qui encadre l’imposition des gains en capital vise à assujettir à l’impôt 50% de l’accroissement du pouvoir économique. Par ailleurs, afin de s’assurer de prendre en compte les gains et pertes réels, la Loi comporte plusieurs dispositions anti-évitement spécifiques visant à refléter la réalité économique du contribuable. Parmi celles-ci, on y retrouve le paragraphe 55(2) de la Loi.

[102] Au paragraphe 11 de la décision Saskatchewan, précitée, j’ai indiqué que le paragraphe 55(2) de la Loi a été introduit dans le budget fédéral de 1979 : « Il visait les arrangements conçus pour utiliser l’exemption relative aux dividendes intersociétés de façon à réduire indûment un gain en capital sur la vente d’actions ».

[103] En 1988 toutefois, l’ancien paragraphe 55(1) de la Loi a été abrogé parallèlement à l’adoption de la règle générale anti-évitement. Les notes explicatives du ministère des Finances de l’année en question indiquent ce qui suit :

Le paragraphe 55(1) de la Loi est une disposition anti-évitement applicable aux opérations qui visent à réduire artificiellement ou indûment un gain en capital ou à occasionner ou augmenter une perte en capital résultant de la disposition d’un bien.

La paragraphe 55(1) est abrogé en raison de l’instauration du nouvel article 245 de la Loi, qui constitue un règle générale anti-évitement. Comme cette règle générale a un champ d’application suffisamment large pour englober les opérations visées au paragraphe 55(1), celui-ci n’est plus nécessaire.

Les règles de majoration

[104] Bien que les règles de majoration prévues aux alinéas 88(1)c) et d) de la Loi ne peuvent s’appliquer aux faits de l’affaire, elles font tout de même partie du contexte de l’application du paragraphe 55(2). Les règles de majoration s’appliquent dans un contexte de détention d’une société canadienne par une autre société canadienne et lorsque l’une d’elles fait l’objet d’une liquidation ou d’une fusion verticale.

[105] Si, lors d’une liquidation ou d’une fusion d’une filiale, le montant engagé par la société mère pour acquérir les actions de la filiale est plus élevé que le coût des biens de la filiale, cet excédent peut, à certaines conditions, être réparti entre les biens de la filiale pour augmenter leur PBR.

[106] C’est pour éviter une double imposition des transactions en capital réalisées par les sociétés que la Loi prévoit les règles de majoration. La raison d’être de ces règles est clairement expliquée par la Cour d’appel fédéral dans la décision Oxford, précitée :

[77] La majoration prévue aux alinéas 88(1)c) et d) permet de corriger cette situation. Il faut d’abord calculer la différence entre le PBR des actions de la société mère et le coût aux fins de l’impôt des biens de la filiale. Le résultat obtenu peut ensuite être ajouté au coût aux fins de l’impôt des immobilisations non amortissables dont la société mère a hérité de sa filiale. Autrement dit, le coût aux fins de l’impôt de ces immobilisations est majoré. La majoration permet essentiellement de préserver le PBR qui disparaîtrait autrement au moment de la fusion verticale et de le transférer à d’autres biens qui sont imposés de la même manière.

[107] Deux conditions doivent toutefois être respectées afin d’obtenir l’avantage de la majoration. Premièrement, seulement le prix de base rajusté des biens qui étaient détenus par une société lors de sa dernière acquisition de contrôle peut être majoré en vertu des sous-alinéas 88(1)c)(ii) et (iii). Deuxièmement, l’excédent du prix de base rajusté des actions d’une société qui peut être utilisé aux fins des règles de majoration doit être réduit d’un montant égal à la somme des dividendes payés sur ces actions.

[108] En l’espèce, les deux conditions nécessaires ne sont pas rencontrées et les paragraphes 122 à 126 des propositions de l’intimée résument bien la situation :

122. En effet, lorsque Saucier est devenu l’actionnaire majoritaire de 3295 en 1996, ses actions avaient un PBR nominal et 3295 ne détenait pas les actions de Holdings.

123. Ainsi, aucune prime ne peut être considérée avoir été payée lors de l’acquisition de contrôle de 3295 en 1996 qui ne serait pas reflétée dans le PBR des actions de Holdings. Par l’entremise de cette condition, le législateur a explicitement tranché que le PBR des actions de 3295 ne pouvait être utilisé pour augmenter le PBR des actions de Holdings acquises en 2002.

124. De plus, lorsque Micsau a acquis les actions de 3295 de la CDPQ en 2002, un dividende correspondant au montant du PBR de ces actions a été payé par 3295 afin de financer cette acquisition. D’autres dividendes s’élevant au total à 58 millions $ ont également été payés immédiatement avant le début de la série d’opérations de 2004. Essentiellement, la totalité de la considération en argent reçue en 2002 lors de la vente des actifs de 3295 a été distribuée à Micsau sous forme de dividende entre 2002 et 2004.

125. Ainsi, comme une valeur supérieure au PBR des actions de 3295 a été distribuée par cette dernière sous forme de dividendes, la majoration du PBR de ses actifs s’avérait impossible dans le cadre d’une liquidation ou d’une fusion en prévision de la vente de Holdings à Novartis. Cette restriction à la majoration sous-tend que sans ces dividendes, le PBR des biens de 3295 aurait excédé le PBR des actions de 3295. Aucune double imposition ne peut donc résulter de la non-utilisation du PBR des actions de 3295 dans le cadre de la vente de ses actifs selon le législateur.

126. En résumé, le législateur a prévu spécifiquement les règles de majoration afin d’éviter la double imposition dans le cadre de la réalisation d’un gain en capital par une société dont les actions ont un PBR substantiel. Cependant, 3295 et Micsau ne pouvaient recourir à ces règles, car à la lumière de la Loi, aucune double imposition ne résultait de la vente des actions de Holdings en 2004.

Analyse téléologique

[109] Les notes explicatives de 1994 du ministre des Finances expliquent la raison d’être du paragraphe 55(2) de la Loi en ces termes :

Le paragraphe 55(2) est une disposition anti-évitement qui a pour objet de faire échec à certains arrangements visant à convertir le gain en capital réalisé à la disposition d’actions en un dividende libre d’impôt. Selon ce paragraphe, les dividendes reçus dans ces circonstances sont considérés soit comme un gain en capital, soit comme un produit de disposition à prendre en compte dans le calcul du gain en capital.

[110] L’analyse de l’objet du paragraphe 55(2) de la Loi a déjà été effectué dans bon nombre de décisions dont celle rendu dans l’affaire Saskatchewan, précitée aux paragraphes 46 à 52 :

[46] Un certain nombre de décisions ont tenté de décrire l’objet général du paragraphe 55(2). Il est évident qu’il s’agit d’une disposition anti-évitement qui a pour but d’éviter ce que l’on appelle habituellement un « dépouillement des gains en capital » ou la conversion de gains en capital imposables en dividendes intersociétés libres d’impôt (voir l’arrêt Placer Dome, précité, au paragraphe 1).

[47] De façon à éviter une double imposition au niveau de la société, la Loi prévoit que, de façon générale, les dividendes qu’une société paie à une autre sont en fait libres d’impôt sur le revenu aux termes du paragraphe 112(1) de la Loi. Sans cette disposition, la société gagnant un revenu donnant lieu à un dividende serait imposée, et la société recevant un dividende serait elle aussi imposée sur le revenu de dividende.

[48] Cependant, en raison de ces dividendes intersociétés libres d’impôt, il y a une incitation à payer de tels dividendes pour réduire la juste valeur marchande des actions et diminuer ainsi le gain en capital qui découlerait de la disposition des actions. Le paragraphe 55(2) est conçu pour imposer des limites à l’utilisation des dividendes intersociétés libres d’impôt afin de s’assurer que la plus-value non réalisée, depuis 1971, des éléments d’actif sous-jacents de la société ne fasse pas l’objet d’un évitement. Dans l’arrêt Lamont Management Ltd., précité, le juge Rothstein a décrit, aux paragraphes 3 et 4, le problème que le paragraphe 55(2) vise à éviter :

3 La Loi de l’impôt sur le revenu prévoit que, conformément à certaines dispositions déterminées, les dividendes reçus par une société d’une autre société sont exonérés de l’impôt sur le revenu. Cette exonération a pour but d’empêcher la double imposition au niveau de la société, c’est-à-dire une première fois entre les mains de la société qui gagne le revenu à l’origine du dividende et une seconde fois, entre les mains de la société qui reçoit un revenu sous forme de dividende.

4 Dans les cas où la Loi de l’impôt sur le revenu prévoit que les dividendes versés par une société à une autre sont exonérés d’impôt, la compagnie actionnaire est incitée à toucher le gain en capital en résultant sous forme de dividendes. L’article 55 est une disposition anti-évitement qui vise à limiter le recours au versement de dividendes exonérés d’impôt entre sociétés lorsque ces dividendes seraient autrement imposables. Lorsque cette restriction s’applique, le dividende entre sociétés est réputé être, non pas un dividende, mais le produit de la disposition d’un bien ou encore un gain réalisé par la société bénéficiaire, imposable au taux applicable aux gains en capital. Toutefois, lorsque le dividende entre sociétés est imputable à un « revenu gagné ou réalisé par une corporation », la disposition anti-évitement ne s’applique pas et le dividende entre sociétés continue à être considéré comme un dividende. C’est ce qu’on appelle parfois un « revenu protégé ».

[49] La juge Lamarre Proulx, dans la décision Gestion Jean-Paul Champagne Inc. c. Canada (ministre du Revenu national) [1995] ACI no 1187 (QL), 97 DTC 155, [1996] 2 CTC 2537 (CCI), au paragraphe 51, a interprété l’intention du législateur sous un angle plus large :

C’est sûrement une disposition qui a pour but de réglementer l’évitement fiscal et plus particulièrement une disposition qui apporte un complément à l’effet du paragraphe 84(3) de la Loi. Dans le cas de rachat de ses actions par une corporation, dans le cas où ces actions sont détenues par une autre corporation, le législateur veut éviter que tout ne devienne un dividende intercorporatif non imposable.

[50] Dans la décision 729658 Alberta Ltd, précitée, la juge Woods (alors juge de notre Cour) a exprimé l’avis que le régime législatif exposé au paragraphe 55(2) n’était pas évident et elle s’en est remise à la description du gouvernement que le juge Noël avait énoncée dans l’arrêt Kruco Inc., précité :

Il s’agissait de s’assurer que le gain en capital inhérent aux actions d’une corporation, attribuable à une plus-value non réalisée des actifs sous-jacents de la corporation depuis 1971, ne fasse pas l’objet d’un évitement par l’utilisation des dividendes non imposables versés à une société (paragraphe 112(1)).

Parallèlement, le Parlement ne voulait pas freiner le flux de dividendes exemptés d’impôt attribuables à des revenus déjà imposés.

Théoriquement, cette méthode permet de dégager l’impôt applicable à la portion du gain fictif attribuable à la plus-value des actifs sous-jacents tout en maintenant le régime d’exonération pour la partie du gain attribuable à un « revenu gagné ou réalisé » depuis 1971.

[51] Dans la décision Ottawa Air, précitée, la juge Lamarre a conclu que le budget fédéral de 1979 avait clairement décrit l’objet du paragraphe 55(2) comme étant une disposition anti-évitement permettant de s’assurer qu’un gain en capital était reconnu dans la mesure de la plus-value non réalisée et non imposée, depuis 1971, des éléments d’actif sous-jacents :

27 Le méfait que le paragraphe 55(2) vise à corriger est clairement décrit dans le budget fédéral de 1979, où cette disposition a été présentée. À cause de son importance dans ces appels, je reproduis le passage pertinent en entier :

D’importantes dispositions seront instaurées pour clarifier et renforcer l’esprit des mesures visant à prévenir une diminution artificielle ou indue des gains en capital.

Certains ont formulé des doutes sur la portée législative et le champ d’application de ces dispositions. Un certain nombre de régimes ont été mis en place pour permettre à une société d’extraire, avant certaines ventes d’actions, ce qui constitue essentiellement le produit de la vente sous forme de dividendes versés entre sociétés en franchise d’impôt ou de dividendes réputés versés et touchés, afin de diminuer suffisamment la valeur – ou augmenter le coût de base – des actions pour éviter l’impôt sur les gains en capital. Ces dividendes, qui dépassent souvent les gains de la société à vendre, sont habituellement motivés uniquement par le désir du vendeur d’éviter l’impôt sur les gains en capital.

En règle générale, dans la plupart des ventes d’actions entre sociétés sans lien de dépendance – et, dans certains cas, avec lien de dépendance – un gain en capital doit apparaître au moins dans la mesure où le produit de la vente reflète la hausse non réalisée et non imposée, depuis 1971, de la valeur des actifs correspondants. Cette règle est généralement respectée quand les versements de dividendes en franchise d’impôt sont limités aux bénéfices non distribués et imposés, postérieurs à 1971.

Des changements clarifieront l’esprit de la Loi à cet égard en précisant que, lorsqu’on peut raisonnablement considérer que l’une des principales raisons d’un dividende versé en franchise d’impôt entre sociétés est de réduire le produit de la disposition d’une action, le gain en capital autrement déterminé sera rajusté dans la mesure où les dividendes globaux en franchise d’impôt dépassent les gains non distribués et imposés, postérieurs à 1971.

[52] Il ressort clairement des éléments qui précèdent que le législateur entendait restreindre les dividendes intersociétés libres d’impôt, mais uniquement dans la mesure où la plus-value non réalisée et non imposée des éléments d’actif sous-jacents était réalisée, de façon à ce que le revenu déjà imposé ne tombe pas sous le coup du paragraphe 55(2).

[111] De manière générale, il y a dépouillement du gain en capital lorsqu’une société, qui souhaite vendre ses actions d’une autre société, reçoit d’abord un dividende, puis vend ses actions à un prix réduit du montant du dividende reçu, ce qui permet de diminuer le gain en capital latent qui, autrement, serait réalisé. Il s’agit en fait d’empêcher la diminution artificielle d’un gain ou l’augmentation artificielle d’une perte à la disposition d’un bien.

[112] L’introduction du paragraphe 55(2) de la Loi visait donc à assurer que le gain en capital inhérent aux actions d’une corporation, attribuable à la plus-value non-réalisée des actifs sous-jacents de la corporation depuis 1971 ne fasses l’objet d’un évitement par l’utilisation des dividendes non imposables versés à une société. Parallèlement, le Parlement ne voulait pas freiner le flux de dividendes exemptés d’impôt attribuables à des revenus déjà imposés (Kruco Inc. c. La Reine, 2003 CAF 284, par. 32).

Y a-t-il eu contravention à l’objet ou à l’esprit des dispositions en cause?

[113] Premièrement, puisque l’appelante a admis qu’il existait un avantage fiscal découlant d’une série d’opérations d’évitement, les motivations qui ont mené à la présente réorganisation ne sont pas pertinentes aux fins de déterminer si ces opérations ont eu pour effet d’abuser ou de contrecarrer l’objet ou l’esprit des dispositions pertinentes (voir les paragraphes 34 à 38 de l’arrêt Lipson, précité). En l’espèce, le fait que Novartis et RoundTable ne voulaient pas acquérir 3295940 par peur de la prise en charge des passifs potentiels ou pour toute autre raison n’est donc pas utile.

[114] Deuxièmement, la RGAÉ ne s’applique pas dès qu’il est établi qu’une série d’opérations a mené à un avantage fiscal. Plutôt, la RGAÉ s’applique si cette série d’opérations a eu pour effet de contrecarre où d’abuser l’objet ou l’esprit de la disposition en cause (voir les paragraphes 44, 57 et 59 de l’arrêt Trustco, précité).

[115] Comme l’explique la Cour suprême du Canada dans l’affaire Lipson, « l’ensemble des opérations de la série doit être pris en compte pour déterminer si, individuellement, elles entraînent un abus dans l’application d’une ou de plusieurs dispositions » de la Loi (voir le paragraphe 34).

[116] Dans son analyse visant à déterminer si les opérations étaient abusives, la Cour doit donner effet à ces dernières comme elles se sont déroulées. Elle doit éviter d’analyser la question à travers le prisme du résultat global des opérations. Ce qu’il faut démontrer, c’est qu’il ressort clairement des dispositions invoquées au soutien du résultat obtenu, compte tenu de leur objet et de leur esprit, une raison d’être contrecarrée par la série d’opérations (Gladwin CAF, précitée, par. 70).

[117] Puisque le paragraphe 55(2) de la Loi est une disposition anti-évitement spécifique, les commentaires du juge Noël dans la récente affaire Gladwin CAF, précitée, permettent une nuance importante : le recours à une disposition anti-évitement en vue d’obtenir un avantage fiscal ne constitue pas une planification fiscale abusive dans tous les cas. Il y aura abus lorsque la disposition anti-évitement sera utilisée afin d’obtenir le résultat qu’elle cherche à empêcher. Au final, à cette étape, il faut démontrer que « le recours à la disposition anti-évitement contrecarre sa raison d’être ».

[118] En l’espèce, il ressort de l’analyse textuelle, contextuelle et téléologique que l’objet ou l’esprit des paragraphes 83(2), 89(1) et 55(2) de la Loi est d’empêcher qu’un contribuable puisse, au moyen de dividende libre d’impôt, éviter le gain en capital inhérent aux actions d’une corporation attribuable à la plus-value non-réalisée des actifs sous-jacents d’une société, ce qui serait contraire au principe d’intégration que cherche à atteindre le régime du CDC.

[119] Afin de déterminer si les opérations d’évitement effectuées par l’appelante étaient abusives, il importe d’examine le CDC de l’appelante à chaque étape du plan. Le 30 juin 2004, lors de la cession des 1 500 000 actions détenues par l’appelante dans Holdings, le CDC de l’appelante est augmenté de la moitié du gain en capital, soit 26 500 000 $, pour un montant total de 32 280 000 $. Cette cession entraîne aussi une détention croisée entre 4244 et l’appelante. Le 11 août 2004, en rachetant en premier les actions de l’appelante détenues par 4244, 3295940 est en mesure de transférer la quasi-totalité de son CDC à 4244 par l’entremise d’un dividende en capital. Le même jour, 4244 fait de même. Il ne reste alors qu’à rouler les actions de la société mère dans 4244 à l’appelante et à procéder à la vente de 4244 à Novartis pour atteindre l’objectif recherché.

[120] Par le jeu de ses choix, l’appelante a réussi à éviter l’application du paragraphe 55(2) lors du rachat croisé de ses actions et des actions de 4244. En sachant que le paragraphe 55(2) aurait transformé le dividende imposable versé par 4244 au moment du rachat des actions de l’appelante, le seul moyen d’éviter un tel résultat désavantageux était de faire circuler le CDC par l’entremise de dividende en capital, CDC qui, au final, a été rétabli à sa place initiale. Le dividende en capital a été utilisé d’une manière qui n’est pas conforme à son objectif : au lieu de permettre un traçage des montants libres d’impôt vers le haut du groupe corporatif, il a circulé pour revenir à son point de départ, soit entre les mains de 3295940.

[121] Ce recyclage du dividende en capital a empêché le paragraphe 55(2) de s’appliquer et de convertir le dividende réputé versé par 4244 à 3295940 en un gain en capital. L’application du paragraphe 55(2) aurait permis que la totalité de l’appréciation de valeur des actions de Holdings soit imposée, et aurait par le fait même, préservé l’intégrité de régime d’imposition des gains en capital.

[122] Le point culminant dans cette affaire est que la circulation du CDC a permis d’établir la participation de l’appelante dans sa société nouvellement constituée à une valeur égale à sa juste valeur marchande, ce qui n’entraînait aucun impôt payable lors de la vente des actions de 4244 à Novartis. L’appelante n’a subi qu’une partie des désavantages reliés à la base fiscale nominale de sa participation dans Holdings.

[123] Le juge Noël, au paragraphe 76 de l’affaire Gladwin CAF, fait remarquer que « l’existence d’un solde de CDC positif, quelle que soit la manière dont il est généré, est la seule condition préalable à la déclaration d’un dividende en capital ». Indubitablement, les dispositions relatives au régime du CDC n’empêchent pas le versement circulaire d’un dividende en capital, à en juger par leur libellé, Leur raison d’être ne l’empêche pas mais en procédant ainsi, c’est plutôt l’objet que vise le paragraphe 55(2) qui a été brimé. Le jeu du CDC a indirectement un impact sur le gain en capital latent des actions détenues par l’appelante dans 4244. Cette dernière n'avait qu’à vendre sa participation pour éviter l’impôt payable relatif au gain en capital latent. Or, 55(2) aurait dû s’appliquer à cette diminution du gain en capital.

[124] La stratégie employée en l’espèce ressemble beaucoup à celle utilisé dans l’affaire D&D Livestock, où bien que la RGAÉ n’était pas invoquée, l’utilisation dédoublée du revenu protégé avait permis à l’appelant d’éviter de déclencher le paragraphe 55(2), ce qui, selon le juge Graham, entraînait un dépouillement de gains en capital, résultat que vise à empêcher la disposition.

[125] Comme dans l’affaire D&D Livestock, l’appelante a réussi à isoler l’incidence favorable à l’aide de dividende en capital et à en faire profiter son actionnaire, sans devoir subir les répercussions négatives de sa base fiscale nominale. Une telle stratégie contrecarre la raison d’être du paragraphe 55(2) de la Loi.

[126] En l’espèce, l’effet global de la série d’opérations est que 3295940 a déclaré un gain en capital total de 64 600 000 $ suite à la disposition de ses actions de Holdings alors que le gain en capital latent sur ces mêmes actions était de 96 100 000 $.

[127] N’eût été la série d’opérations, la disposition des actions de Holdings par 3295940 aurait entraîné un gain en capital de 96 100 000 $, ce qui représente l’appréciation de valeur de ces actions n’ayant jamais fait l’objet d’une imposition. C’est ce résultat qui aurait été en harmonie avec l’économie du régime d’imposition des gains en capital qui vise à imposer un contribuable sur 50% de l’appréciation de la valeur de ses biens, et non sur un pourcentage inférieur aléatoire d’une transaction à une autre.

[128] Dans la présente affaire, le paragraphe 55(2) vise, entre autres choses, à empêcher les particuliers de dépouiller des surplus sous forme de gains en capital dans le cadre desquels le paiement d’un dividende intersociétés libre d’impôt aurait pour effet de réduire ou d’éviter le gain en capital lors de la vente des actions.

[129] Avant la réorganisation de 2004, le PBR des actions de Holdings était nominal. Par conséquent, le gain en capital qui aurait été réalisé lors d’une disposition des actions de Holdings à leur juste valeur marchande avant la réorganisation aurait été en substance égal à la juste valeur marchande des actions, soit 101 800 000 $.

[130] Plusieurs transactions ont alors eu lieu de manière valable. Le capital versé des actions a augmenté le PBR et diminué la juste valeur marchande des actions. La vente subséquente des actions a entrainé une augmentation du PBR de 57 000 000 $, montant sur lequel l’appelante s’est imposée. Le gain en capital latent des actions était alors d’un montant de 31 500 000 $. À ce moment, par le jeu du dividende en capital circulaire et du roulement des actions ayant un PBR égal à leur juste valeur marchande, le gain en capital latent sur les actions de Holdings a été évité.

[131] La diminution du gain en capital latent sur les actions de Holdings est donc dûe à une utilisation implicite du principe de la majoration de l’article 88 de la Loi et du régime du CDC et non d’un principe général contre le dépouillement de surplus comme il en état question dans l’affaire McMullen citée dans la décision Gwartz. Par l’utilisation réfléchie et précise des dispositions en cause, l’appelante a pu contourner l’application du paragraphe 55(2) et ainsi éviter l’imposition lors de la vente des actions au tiers sans lien de dépendance.

[132] Le dépouillement des surplus libres d’impôt, qu’il soit fait par l’entremise de gains en capital ou de dividendes, aurait dû être imposable. Et c’est le paragraphe 55(2) qui aurait dû assurer l’intégrité du système d’imposition.

[133] Les avocats de l’appelante soutiennent le principe suivant : que la participation soit directe ou indirecte, sa vente entraînera les mêmes conséquences, autant fiscales qu’économiques pour les parties. Plus spécifiquement, que le PBR des actions se trouvent dans la société mère ou la filiale de premier palier, ce qui a été vendu est, au final, le même 20% de participation dans l’entreprise pharmaceutique.

[134] Ce faisant, le mouvement de l’attribut fiscal qu’est le PBR des actions d’un peu plus de 47 millions de dollars dans le groupe corporatif ne devrait avoir aucun impact sur le respect ou le non-respect de l’objet des dispositions de la Loi.

[135] Bien que le transfert d’attributs fiscaux dans un groupe corporatif ne soit pas considéré comme abusif selon l’ARC, cette position est soutenue par des mécanismes effectivement prévues dans la Loi. Le transfert des pertes fiscales entre sociétés affiliées est permis dans les limites du paragraphe 69(11) et l’augmentation du PBR des actions est permis, par exemple, lorsqu’il y a augmentation de CV par l’effet du paragraphe 84(1) ou lorsque les conditions précises des alinéas 88(1)c) et d) sont rencontrées.

[136] Alors qu’en l’espèce, la majoration dans le cadre d’une fusion ou d’une liquidation n’était pas une option viable, le résultat en est pourtant le même : l’attribut fiscal s’est déplacé à travers le groupe corporatif afin de permettre une diminution du gain en capital au moment de la vente des actions de Holdings.

[137] Selon un principe bien connu, si le législateur avait voulu le mouvement d’un tel attribut fiscal, il l’aurait explicitement permis. En effet, le législateur exprime ce qu’il veut dire et veut dire ce qu’il exprime.

[138] On peut faire le parallèle avec l’affaire Oxford, précitée, où une société canadienne cotée en bourse a procédé à une réorganisation afin de se départir de certains biens immobiliers.

[139] Par l’entremise de la constitution de plusieurs sociétés en commandite, lesdits biens ont été transférés par roulement selon le paragraphe 97(2) de la Loi. C’est au moment de la fusion des sociétés en commandite que la société issue de la fusion a pu procéder à une majoration au sens du paragraphe 88(1) LIR et a ainsi augmenté le PBR de ses participations dans les sociétés de personnes. Cette série d’opérations a été faite plusieurs fois afin d’augmenter au maximum le PBR des participations. Étant donné le PBR élevé des participations dans les sociétés de personnes, la vente n’a généré qu’un faible gain en capital imposable, voire aucun et l’impôt sur la récupération latente et les gains accumulés inhérents aux biens immobiliers a été complètement évité.

[140] En Cour d’appel fédérale, il a été question de l’application de la RGAÉ, plus particulièrement de l’aspect « abus » de la série d’opérations d’évitement, étant donné l’admission aux deux premières conditions par les parties. Alors que le ministre avait été débouté en Cour canadienne de l’impôt, la Cour d’appel fédérale en est arrivée à la conclusion contraire.

[141] Selon le juge en chef Noël, les deux majorations ont permis de contourner l’application du paragraphe 100(1). De par les fusions verticales faites après les roulements, la majoration du PBR des participations dans les sociétés a pu être mise en place :

[76] Selon l’alinéa 88(1)a), lors d’une fusion verticale, la société mère est réputée avoir acquis les biens de sa filiale au coût aux fins de l’impôt pour la filiale. Toutefois, avant la liquidation, il se peut que le coût aux fins de l’impôt, pour la société mère, des actions dans sa filiale (le PBR des actions) soit supérieur au coût aux fins de l’impôt des biens sous-jacents de la filiale. Au moment de la fusion verticale, ces actions disparaîtront. En l’absence de rajustement, le coût aux fins de l’impôt de ces actions disparaîtrait lui aussi, ce qui pourrait donner lieu à une double imposition si les biens sous-jacents étaient vendus ultérieurement. Cette situation pourrait survenir, parce que le coût réputé des biens sous-jacents dans les mains de la société mère, soit le coût aux fins de l’impôt pour la filiale, ne refléterait aucune augmentation de valeur jusqu’au moment de la liquidation.

[77] La majoration prévue aux alinéas 88(1)c) et d) permet de corriger cette situation. Il faut d’abord calculer la différence entre le PBR des actions de la société mère et le coût aux fins de l’impôt des biens de la filiale. Le résultat obtenu peut ensuite être ajouté au coût aux fins de l’impôt des immobilisations non amortissables dont la société mère a hérité de sa filiale. […]

[142] Puisqu’il n’est toutefois pas possible de majorer la base fiscale de tous les biens reçus lors de la fusion verticale ou de la liquidation (les biens amortissables et les autres types de bien visés par un taux d’inclusion de 100% ne peuvent pas être majorés), le juge Noël en vient à la conclusion qu’il y a eu majoration indirecte de biens non admissibles, soit des biens amortissables. Il y a donc eu entrave à l’objet et à l’esprit des alinéas 88(1)a) et d) et du paragraphe 98(3) de la Loi (Oxford, précitée, par. 82 et 97).

[143] Par comparaison avec les faits soumis en l’espèce, l’appelante a usé du mécanisme du dividende en capital afin de faire diminuer la valeur de ses actions et d’ainsi profiter d’un gain en capital réduit. Par la série d’opérations, l’appelante arrive au même résultat que si la majoration avait été appliquée aux actions détenues par elle, mais sans avoir eu à rencontrer les conditions requises.

[144] La réorganisation a résulté en la possibilité pour 3295940 de diminuer son gain en capital en utilisant de manière détournée une partie du PBR de ses propres actions, détenues par Micsau, afin d’augmenter le PBR de ses actifs, soit les actions de Holdings. La Loi prévoit expressément, dans le cadre des règles de majoration, des circonstances limitées où le coût des actions d’une société peut être alloué à certains de ses biens. Ces conditions n’étant pas rencontrées en l’espèce, 3295940 a tenté, par le biais d’une série de transactions qui contournent le paragraphe 55(2), d’obtenir un résultat que les règles de majoration de coût ne permettaient tout simplement pas. Si le législateur avait voulu permettre l’utilisation du PBR, accumulé par 3295940 dans la vente de ses propres actifs, les règles de majoration l’auraient explicitement permis. Contrairement à ce que 3295940 suggère en l’espèce, le législateur ne considère donc pas qu’une double imposition résulte en l’espèce de l’impossibilité d’utiliser le PBR des actions de 3295940 dans le cadre de la vente de ses propres actifs.

Les opérations alternatives présentées par l’appelante

[145] La détermination de l’importance des opérations alternatives proposées mais non retenues par l’appelante et les acheteurs doit se faire à la lumière de la décision de la Cour d’appel fédérale dans Univar, précitée. Un bref rappel des faits est nécessaire.

[146] CVC, une société britannique de financement, a fait l’acquisition en 2007 d’une société néerlandaise dénommée Univar NV. De manière indirecte, CVC a donc acquis une filiale active canadienne dont le surplus dépassait les 889 millions de dollars. CVC a alors effectué une série d’opérations visant à dépouiller cette filiale canadienne de son surplus sans avoir à subir de retenue d’impôt. La seule question à trancher devant la Cour était celle concernant l’abus au sens du paragraphe 245(4) de la Loi.

[147] Le retrait des sommes de la filiale canadienne risquait d’entraîner l’application de la disposition 212.1, de la Loi. Or, il existe un allègement à cette disposition anti-évitement : le paragraphe 212.1(4). La série d’opérations dans cette affaire visait donc à profiter volontairement et avec précaution de cet allègement. Après la série d’opérations artificielles, les filiales se trouvaient donc dans la même relation corporative, mais Univar Canada avait été dépouillée de ses surplus.

[148] Il existait une structure d’acquisition idéale qui aurait permis la non-application de la disposition 212.1, mais les circonstances n’étaient pas favorables à une telle structure. C’était le cœur du débat selon la Cour d’appel fédérale. Quelle place prend les opérations alternatives dans la détermination de la question de l’abus au sens du paragraphe 245(4) de la Loi ?

[149] Alors que la Cour canadienne de l’impôt, s’appuyant sur l’arrêt Friedberg c. Canada, [1991] A.C.F. no 1255, [1992] 1 CTC 1, rejette l’argumentaire des transactions alternatives, la Cour d’appel fédérale, aux paragraphes 19 et 22 est de l’avis contraire :

La capacité du contribuable de démontrer qu’ils auraient pu accomplir le même résultat sans assujettissement à l’impôt en effectuant d’autres opérations constitue, à mon avis, un élément qui permet de décider si l’opération d’évitement était abusive.

[…]

Que le surplus de la société canadienne ait été retiré au moyen des autres opérations possibles […] ou au moyen des opérations qui ont été effectuées en l’espèce, le surplus retiré du Canada aurait été le même.

[150] En définitive, la Cour a conclu que, de par le fait qu’il y avait d’autres façons de parvenir au même résultat, c’est-à-dire sans assujettissement à l’impôt, les transactions n’étaient pas soumises au paragraphe 212.1(1) de la Loi et respectaient les limites de cette disposition. La cour d’appel fédérale semble avoir adopté une approche axée sur la réalité économique des transactions.

[151] Peu de décisions ont été rendues à l’égard des transactions alternatives dans le cadre de l’application du paragraphe 245(4) de la Loi.

[152] En l’espèce, il ressort de la preuve soumise au procès et du témoignage de M. Authier que les trois propositions suivantes ont été envisagées afin que l’appelante puisse se départir de ses actions de Holdings en faveur de Novartis :

  • a)la fusion de 3295940 et de Holdings : 3295940 aurait été fusionnée avec Holdings puis vendue à Novartis par Micsau. Novartis aurait donc acquis une société combinant 3295940 et Holdings, et les actions vendues par Micsau auraient eu les mêmes attributs que celles de 3295940;

  • b)une réorganisation du type « tuck under » : les actions de 3295940 auraient été échangées par Micsau pour des actions de Holdings, de sorte qu’il y aurait eu une détention croisée d’actions entre 3295940 et Holdings. Ces nouvelles actions de Holdings auraient par la suite été vendues à Novartis, de sorte que l’acheteur se serait retrouvé à acquérir à la fois 3295940 et Holdings;

  • c)une vente de 3295940 à RoundTable : RoundTable aurait agi comme intermédiaire afin d’acquérir 3295940 pour ensuite la liquider. Dans le cadre de cette liquidation, le PBR des actions de 3295940 aurait été appliqué sur les actions de Holdings. Ultimement, toutes les actions de Holdings auraient été vendues à Novartis et les autres actifs et passifs de 3295940 seraient demeurés avec RoundTable.

[153] Selon l’appelante, ces trois possibilités lui auraient permis de bénéficier du PBR de ses actions détenues par Micsau dans le cadre de la vente de Holdings. Les scénarios ont toutefois été refusés par RoundTable ou par Novartis.

[154] Selon la Couronne, on ne peut utiliser les opérations alternatives pour déterminer l’abus au sens du paragraphe 245(4) puisqu’il ne s’agissait pas de scénarios comparables. En effet, dans les scénarios proposés, il s’agit de la vente des actions de l’appelante, alors que la transaction faisant l’objet de la présente affaire vise plutôt la vente des actions de Holdings.

[155] Parce qu’il ne s’agissait pas des mêmes actions, le prix de vente et l’effet commercial et économique des propositions ne concordent pas avec la transaction véritablement effectuée.

[156] De plus, la Couronne soutient que les scénarios présentés par l’appelante ne peuvent être considérés comme des scénarios comparables, étant donné que les propositions n’avaient pas été acceptées par les acheteurs.

[157] Je ne peux souscrire à cet argument car dans l’affaire Univar, précitée, le scénario alternatif ne pouvait être mis en place dû aux circonstances factuelles entourant la réorganisation. Cela n’a toutefois pas empêché la Cour d’appel fédérale d’utiliser cette opération alternative pour déterminer s’il y avait abus au sens du paragraphe 245(4) de la Loi.

[158] Dans une affaire plus récente encore, soit Satoma, précitée, une partie de l’argumentaire de l’appelante reposait sur des opérations alternatives qui auraient permis un résultat fiscal similaire :

[71] Quant aux arguments de l’appelante selon lesquels on aurait pu procéder autrement, comme le montrent les exemples qui ont été donnés, pour arriver au même résultat, ceux-ci ne changent pas ma conclusion.

[72] D’une part, tel que le souligne la Cour d’appel fédérale dans Perreault c. La Reine, [1979] 1 C.F. 155, page 163, cité par l’appelante elle-même, nous devons déterminer l’obligation fiscale dans le contexte de ce qui a réellement été fait et non selon diverses autres manières qui auraient pu lui éviter l’assujettissement à l’impôt.

[73] D’autre part, les exemples donnés de cas où l’on aurait les fonds directement dans une société et non par l’intermédiaire d’une fiducie ne sont pas des exemples de comparaison valables. Le système d’imposition diffère selon qu’il s’agit de transactions entre sociétés ou de transactions avec des particuliers (incluant les fiducies). À partir du moment où la preuve démontre que la fiducie était un élément incontournable de la planification, on ne peut démontrer que le résultat aurait été le même si on avait fait procédé sans fiducie. Une comparaison valable aurait pu être un investissement fait directement par la Fiducie familiale Louis Pilon, sans que celle-ci ne verse les dividendes reçus de Gennium à 9134. Or, le résultat n’aurait pas été le même puisque cette fiducie familiale, n’étant pas une fiducie avec droit de retour, se serait vu imposer sur les dividendes qu’elle n’aurait pas distribué à ses bénéficiares.

[159] Si on rapproche cette décision à la présente affaire, il a été démontré que la vente des actions de Holdings était primordiale. Cela étant, les opérations alternatives qui concernent la vente des actions de 3295940 ne peuvent être soumises à une comparaison, puisque le résultat n’est nécessairement pas le même, en tout cas, pas au niveau de la réalité économique. En effet, les trois scénarios alternatifs proposés impliquaient, d’une manière ou d’une autre, la disposition des actions de 3295940 et non une vente des actions de Holdings par 3295940.

[160] Il ne peut donc s’agir de scénarios comparables, puisque l’objet de la vente, le prix et les conséquences commerciales auraient été différents.

[161] Suivant l’affaire Univar, précitée, le fait de prendre les opérations alternatives en considération dans l’analyse de l’abus ne doit en aucun cas changer le cadre d’analyse. L’examen des transactions alternatives demeure un outil permettant d’informer la Cour de l’objet et de l’esprit des transactions qui ont réellement eu lieu (voir le paragraphe 21 de la décision). Comme les opérations alternatives n’entraînaient pas le même résultat qu’en l’espèce, l’abus ou non de la Loi de par l’accomplissement de ces opérations n’est que peu pertinent.

[162] Pour toutes ces raisons, l’appel de l’appelante est rejeté avec dépens en faveur de l’intimée.

Signé à Montréal (Québec), ce 30e jour de juin 2022.

« Réal Favreau »

Juge Favreau


ANNEXE

 


RÉFÉRENCE :

2022CCI68

Nº DU DOSSIER DE LA COUR :

2017-4685(IT)G

INTITULÉ DE LA CAUSE :

3295940 CANADA INC.

ET SA MAJESTÉ LA REINE

LIEU DE L’AUDIENCE :

Ottawa (Ontario)

DATE DE L’AUDIENCE :

Le 8 septembre 2020

MOTIFS DE JUGEMENT PAR :

L'honorable juge Réal Favreau

DATE DU JUGEMENT :

Le 30 juin 2022

COMPARUTIONS :

Avocats de l'appelante :

Me Roger Taylor

Me Marie-Claude Marcil

Me Stéphanie Brouillard

 

Avocats de l'intimée :

Me Yanick Houle

Me Sara Jahanbakhsh

Me Dominic Bédard-Lapointe

AVOCATS INSCRITS AU DOSSIER :

Pour l'appelante:

Noms :

Me Roger Taylor

Me Marie-Claude Marcil

Me Stéphanie Brouillard

Cabinet :

EY Cabinet d’avocats s.r.l./ S.E.N.C.R.L.

Pour l’intimée :

François Daigle

Sous-procureur général du Canada

Ottawa (Canada)

 

 Vous allez être redirigé vers la version la plus récente de la loi, qui peut ne pas être la version considérée au moment où le jugement a été rendu.